🇳🇴 🇬🇧 🇩🇪 🇨🇿 🇫🇮

Meteor over Ulricehamn 2025-10-27 23:09:43 UTC

KML-fil  |  Interaktivt kart

Kartet viser peilingene for meteoren. De lysere linjene viser retningene fra observasjonsstedene for meteorens tilsynekomst, og de mørkere linjene viser hvor den sist kunne sees. Den blå pila viser meteorens synlige ferd.

static map
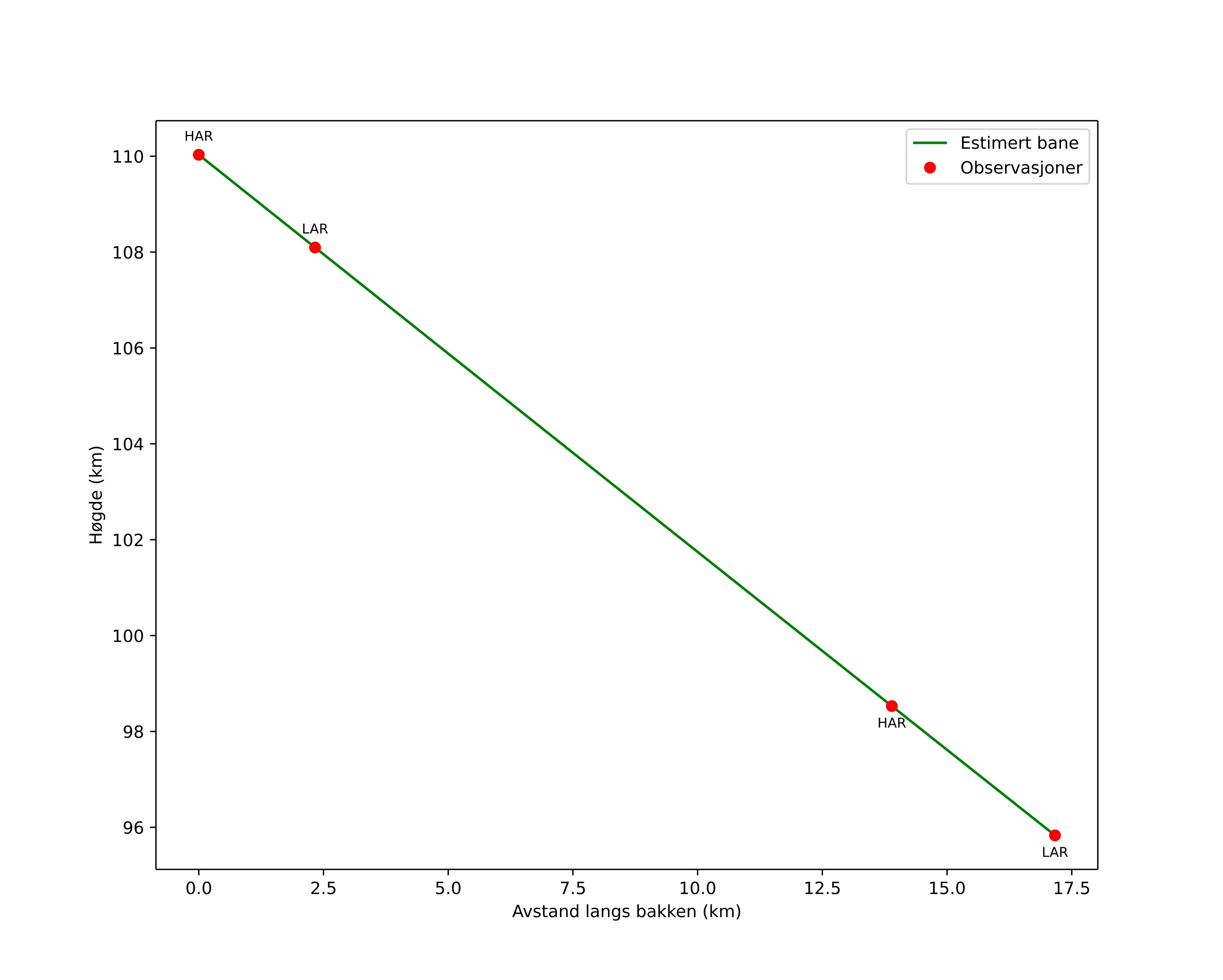
height profile
Meteorens atmosfæriske bane:
Starthøgde: 107,7 km
Slutthøgde: 97,2 km
Startposisjon: 57,819N 13,448E
Sluttposisjon: 57,795N 13,253E
Retning: 257,2°
Fallvinkel: 41,6°
Inngangshastighet: 26,9 km/s
Radiantens rektascensjon: 07:29 (112,4°)
Radiantens deklinasjon: 39,1°
Meteorsverm: sporadisk
Meteoroidens baneelement:
Perihelavstand: 0,065 AU
Eksentrisitet: 0,881
Inklinasjon: 42,8°
Knutelengde: 214,4°
Perihelargument: 354,6°
Midlere anomali: 219,3°
Epoke: 2025 OCT 27 23:09:43
orbit plot

Ikke-interaktivt plott | Interaktivt plott

position vs time
speed and acceleration

Harestua (HAR) cam3


gnomonic
Videoer
• Gnomonisk
• Gnomonisk med koordinater
• Original
• Original med koordinater
Bilder
• Gnomonisk
• Gnomonisk med koordinater
• Original
• Original med koordinater
Tekstfiler
• Deteksjon
• Observasjon
• Koordinater
• Logg
Lysstyrke

Larvik (LAR) cam3


gnomonic
Videoer
• Gnomonisk
• Gnomonisk med koordinater
• Original
• Original med koordinater
Bilder
• Gnomonisk
• Gnomonisk med koordinater
• Original
• Original med koordinater
Tekstfiler
• Deteksjon
• Observasjon
• Koordinater
• Logg
Lysstyrke