🇳🇴 🇬🇧 🇩🇪 🇨🇿 🇫🇮

Meteor, poloha: Øksfjord 2025-11-01 02:37:10 UTC

Soubor KML  |  Interaktivní mapa

Mapa zobrazuje dráhy meteoru. Světlejší čáry ukazují směry od pozorovacích stanic při objevení se meteoru a tmavší čáry, kde byl naposledy viděn. Modrá šipka značí viditelnou dráhu meteoru.

static map
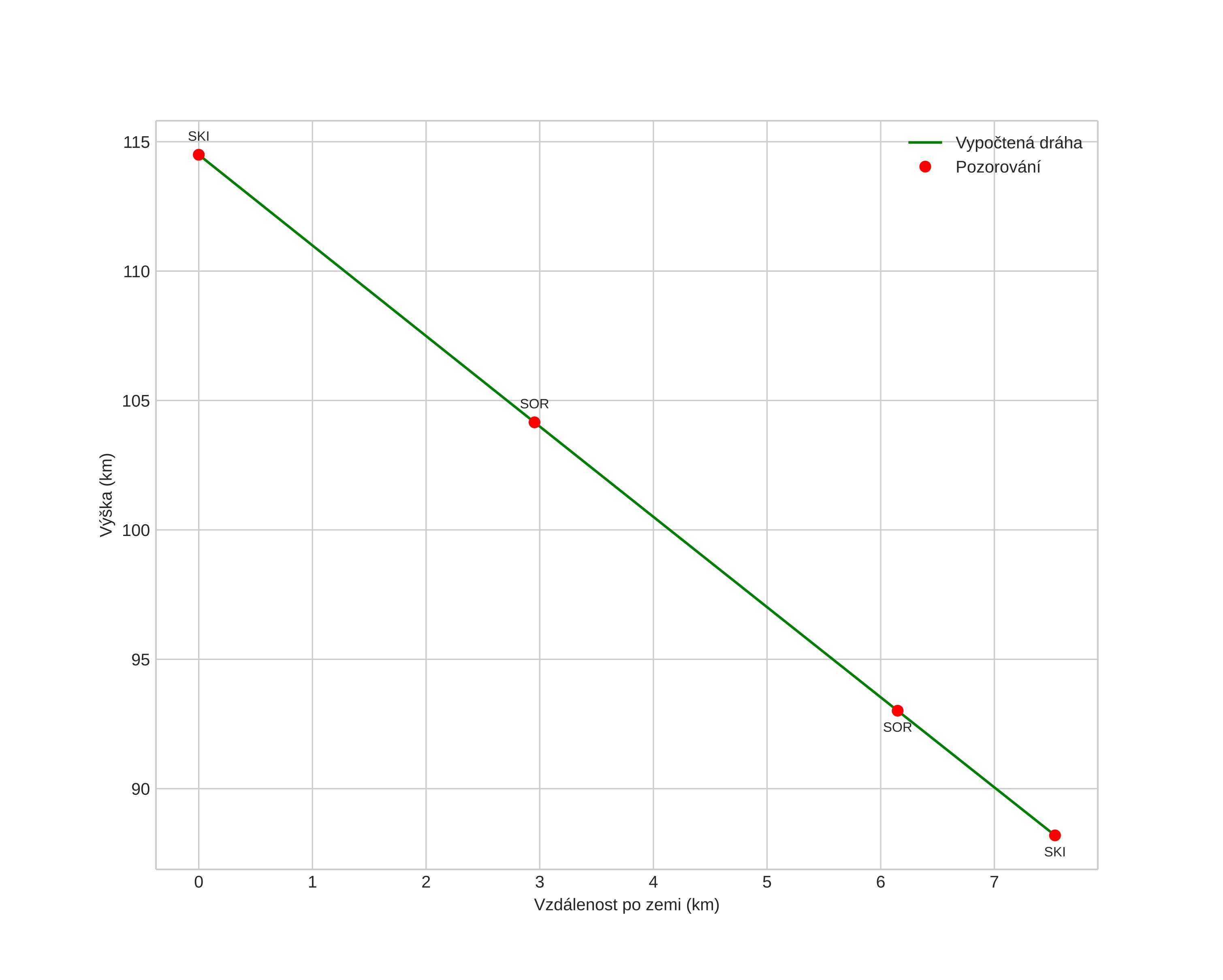
height profile
Atmosférická dráha meteoru:
Počáteční výška: 114,2 km
Konečná výška: 87,8 km
Počáteční poloha: 69,696N 22,712E
Konečná poloha: 69,750N 22,608E
Směr: 326,0°
Sklon: 74,8°
Vstupní rychlost: 68,3 km/s
Rektascenze radiantu: 07:48 (117,0°)
Deklinace radiantu: 56,0°
Meteorický roj: sporadický
Elementy dráhy meteoroidu:
Vzdálenost v periheliu: 0,849 AU
Excentricita: 1,522
Sklon dráhy: 120,4°
Délka vzestupného uzlu: 218,6°
Argument perihelia: 220,6°
Střední anomálie: -10,7°
Epocha: 2025 NOV 01 02:37:10
orbit plot

Neinteraktivní graf | Interaktivní graf

position vs time
speed and acceleration