🇳🇴 🇬🇧 🇩🇪 🇨🇿 🇫🇮

Meteor over Øksfjord 2025-11-01 02:37:10 UTC

KML-fil  |  Interaktivt kart

Kartet viser peilingene for meteoren. De lysere linjene viser retningene fra observasjonsstedene for meteorens tilsynekomst, og de mørkere linjene viser hvor den sist kunne sees. Den blå pila viser meteorens synlige ferd.

static map
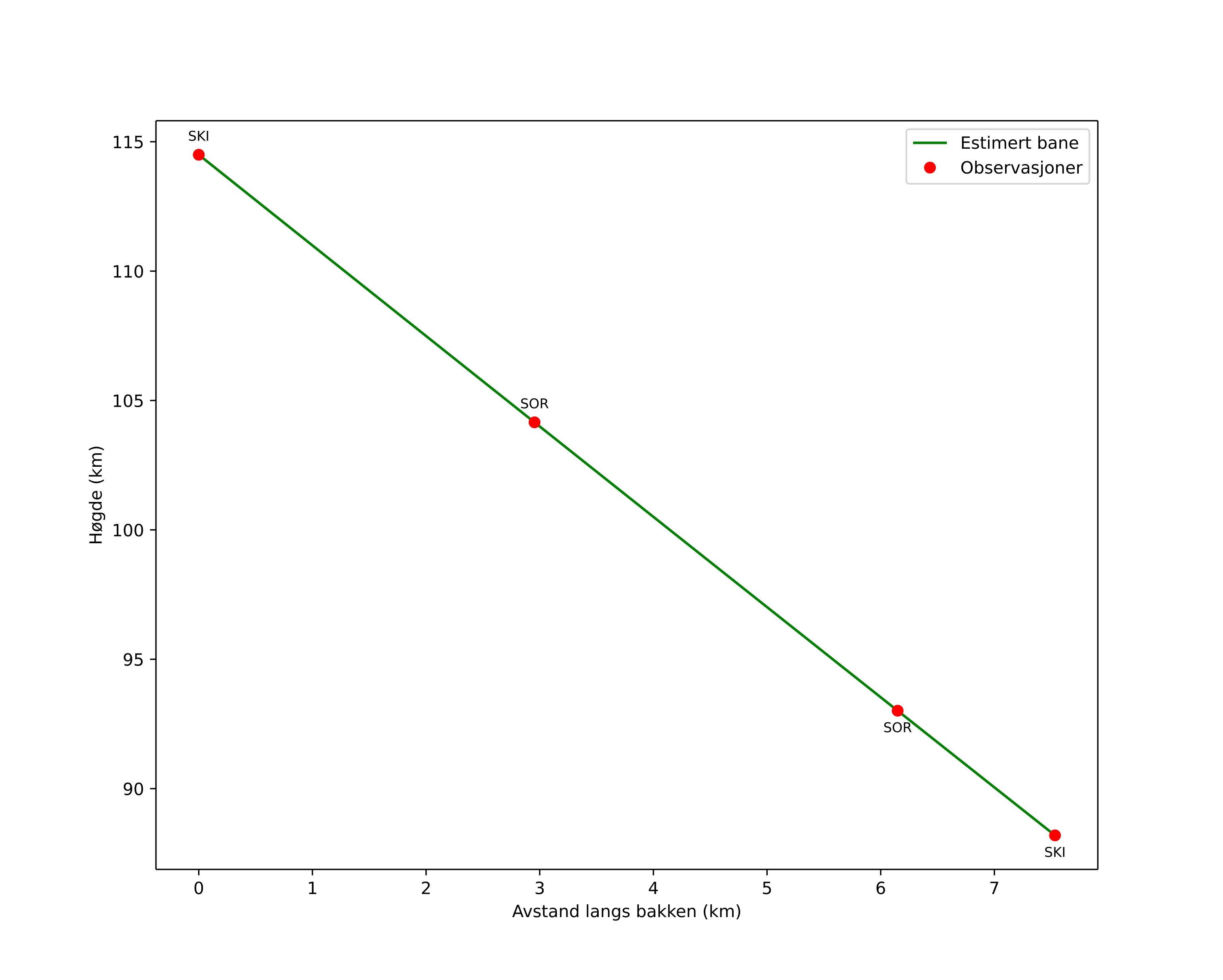
height profile
Meteorens atmosfæriske bane:
Starthøgde: 114,2 km
Slutthøgde: 87,8 km
Startposisjon: 69,696N 22,712E
Sluttposisjon: 69,750N 22,608E
Retning: 326,0°
Fallvinkel: 74,8°
Inngangshastighet: 68,3 km/s
Radiantens rektascensjon: 07:48 (117,0°)
Radiantens deklinasjon: 56,0°
Meteorsverm: sporadisk
Meteoroidens baneelement:
Perihelavstand: 0,849 AU
Eksentrisitet: 1,522
Inklinasjon: 120,4°
Knutelengde: 218,6°
Perihelargument: 220,6°
Midlere anomali: -10,7°
Epoke: 2025 NOV 01 02:37:10
orbit plot

Ikke-interaktivt plott | Interaktivt plott

position vs time
speed and acceleration

Skibotn (SKI) cam2


gnomonic
Videoer
• Gnomonisk
• Gnomonisk med koordinater
• Original
• Original med koordinater
Bilder
• Gnomonisk
• Gnomonisk med koordinater
• Original
• Original med koordinater
Tekstfiler
• Deteksjon
• Observasjon
• Koordinater
• Logg
Lysstyrke

Sorreisa (SOR) cam2


gnomonic
Videoer
• Gnomonisk
• Gnomonisk med koordinater
• Original
• Original med koordinater
Bilder
• Gnomonisk
• Gnomonisk med koordinater
• Original
• Original med koordinater
Tekstfiler
• Deteksjon
• Observasjon
• Koordinater
• Logg
Lysstyrke