🇳🇴 🇬🇧 🇩🇪 🇨🇿 🇫🇮

Meteor, poloha: Innbygda 2025-11-14 02:52:51 UTC

Soubor KML

Mapa zobrazuje dráhy meteoru. Světlejší čáry ukazují směry od pozorovacích stanic při objevení se meteoru a tmavší čáry, kde byl naposledy viděn. Modrá šipka značí viditelnou dráhu meteoru.

static map
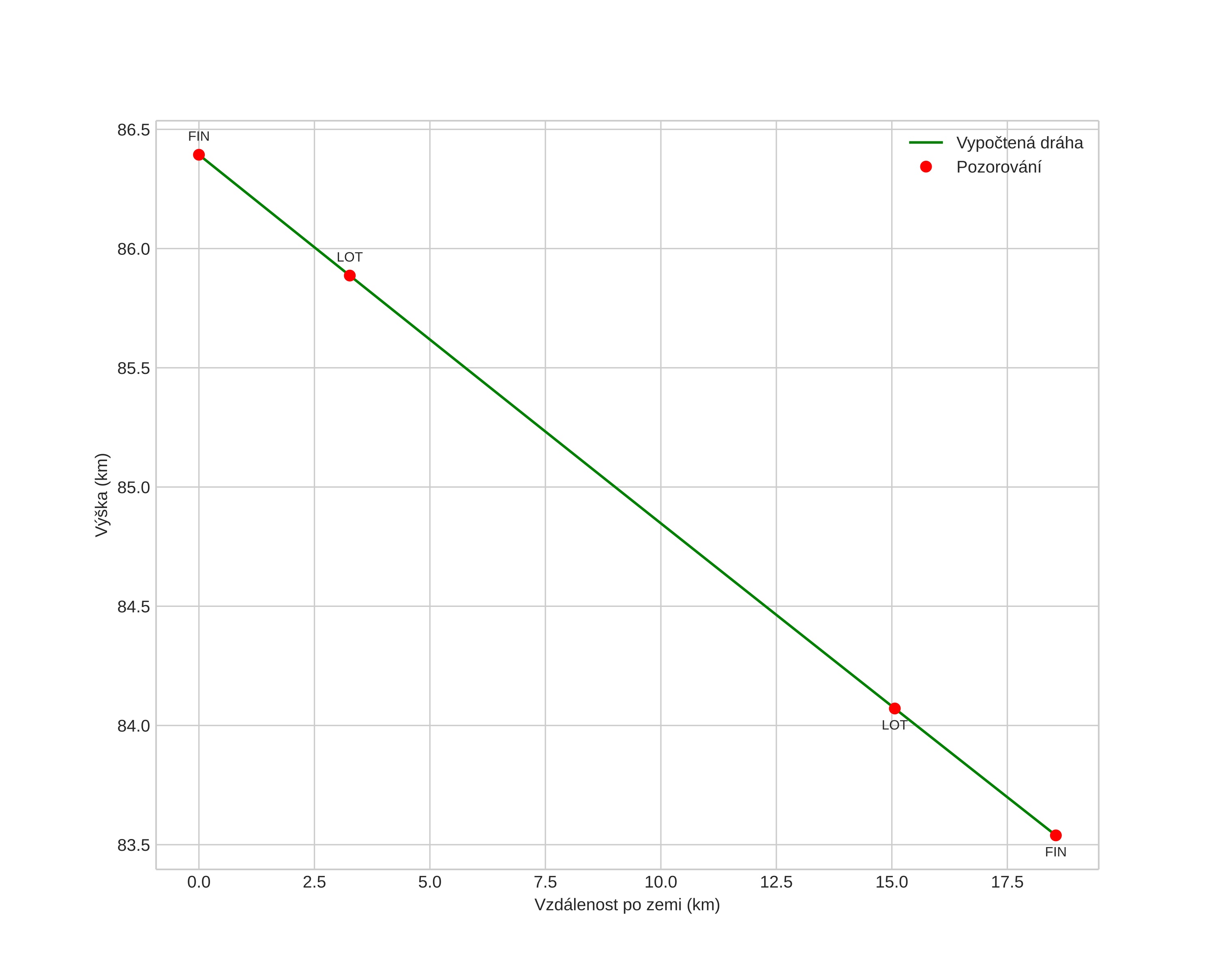
height profile
Atmosférická dráha meteoru:
Počáteční výška: 86,4 km
Konečná výška: 83,5 km
Počáteční poloha: 61,142N 12,448E
Konečná poloha: 61,230N 12,742E
Směr: 58,0°
Sklon: 8,9°
Vstupní rychlost: 22,0 km/s
Rektascenze radiantu: 03:11 (47,9°)
Deklinace radiantu: -13,2°
Meteorický roj: sporadický
Elementy dráhy meteoroidu:
Vzdálenost v periheliu: 0,762 AU
Excentricita: 0,721
Sklon dráhy: 16,0°
Délka vzestupného uzlu: 51,6°
Argument perihelia: 63,2°
Střední anomálie: 351,4°
Epocha: 2025 NOV 14 02:52:51
orbit plot

Neinteraktivní graf

position vs time
speed and acceleration