🇳🇴 🇬🇧 🇩🇪 🇨🇿 🇫🇮

Meteor over Innbygda 2025-11-14 02:52:51 UTC

KML-fil

Kartet viser peilingene for meteoren. De lysere linjene viser retningene fra observasjonsstedene for meteorens tilsynekomst, og de mørkere linjene viser hvor den sist kunne sees. Den blå pila viser meteorens synlige ferd.

static map
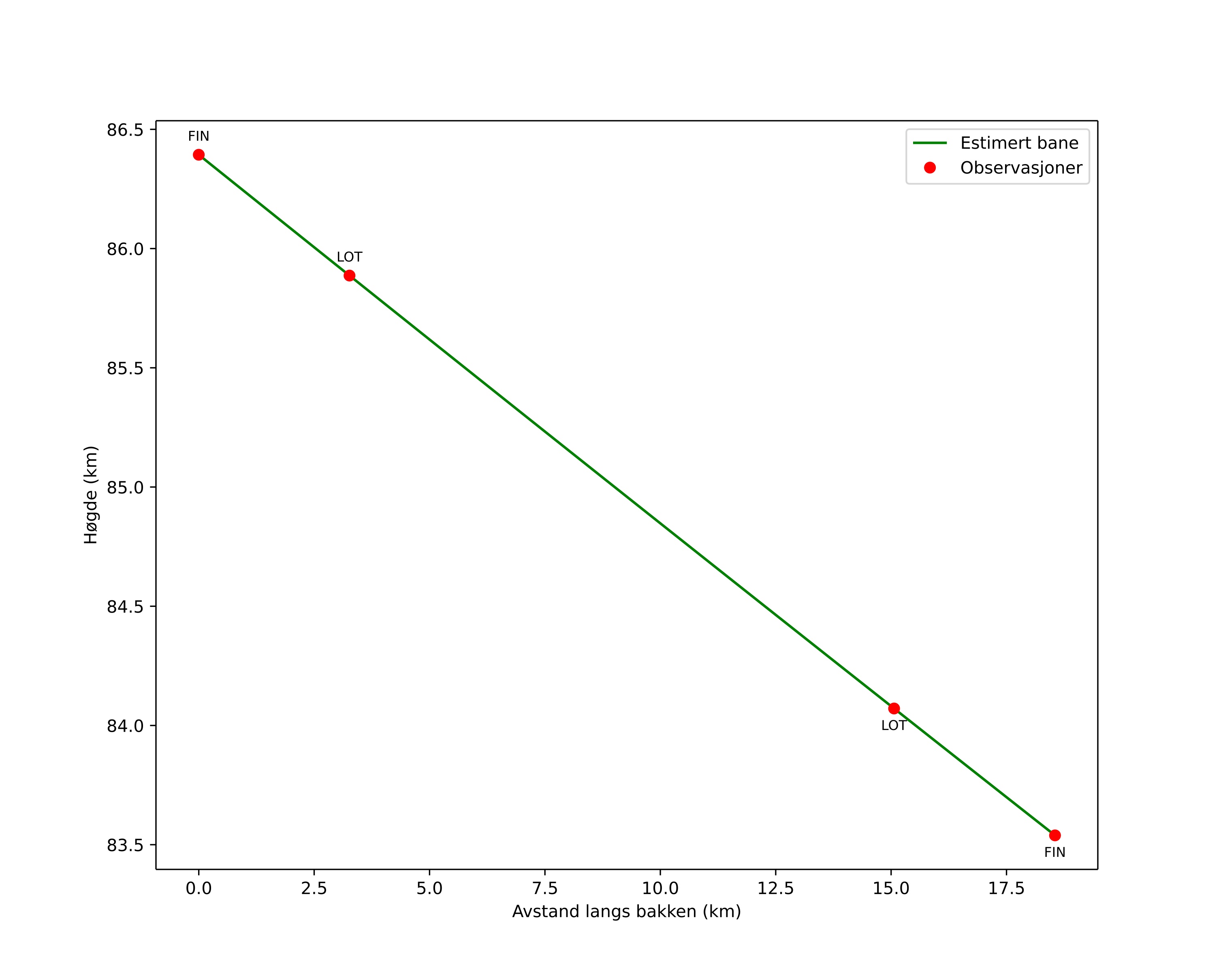
height profile
Meteorens atmosfæriske bane:
Starthøgde: 86,4 km
Slutthøgde: 83,5 km
Startposisjon: 61,142N 12,448E
Sluttposisjon: 61,230N 12,742E
Retning: 58,0°
Fallvinkel: 8,9°
Inngangshastighet: 22,0 km/s
Radiantens rektascensjon: 03:11 (47,9°)
Radiantens deklinasjon: -13,2°
Meteorsverm: sporadisk
Meteoroidens baneelement:
Perihelavstand: 0,762 AU
Eksentrisitet: 0,721
Inklinasjon: 16,0°
Knutelengde: 51,6°
Perihelargument: 63,2°
Midlere anomali: 351,4°
Epoke: 2025 NOV 14 02:52:51
orbit plot

Ikke-interaktivt plott

position vs time
speed and acceleration

Finnskogen (FIN) cam6


gnomonic
Videoer
• Gnomonisk
• Gnomonisk med koordinater
• Original
• Original (HEVC)
• Original med koordinater
Bilder
• Gnomonisk
• Gnomonisk med koordinater
• Original
• Original med koordinater
Tekstfiler
• Deteksjon
• Observasjon
• Koordinater
• Logg
Lysstyrke

Loten (LOT) cam2


gnomonic
Videoer
• Gnomonisk
• Gnomonisk med koordinater
• Original
• Original (HEVC)
• Original med koordinater
Bilder
• Gnomonisk
• Gnomonisk med koordinater
• Original
• Original med koordinater
Tekstfiler
• Deteksjon
• Observasjon
• Koordinater
• Logg
Lysstyrke