🇳🇴 🇬🇧 🇩🇪 🇨🇿 🇫🇮

Meteor over Ulricehamn 2025-11-14 21:23:06 UTC

KML-fil  |  Interaktivt kart

Kartet viser peilingene for meteoren. De lysere linjene viser retningene fra observasjonsstedene for meteorens tilsynekomst, og de mørkere linjene viser hvor den sist kunne sees. Den blå pila viser meteorens synlige ferd.

static map
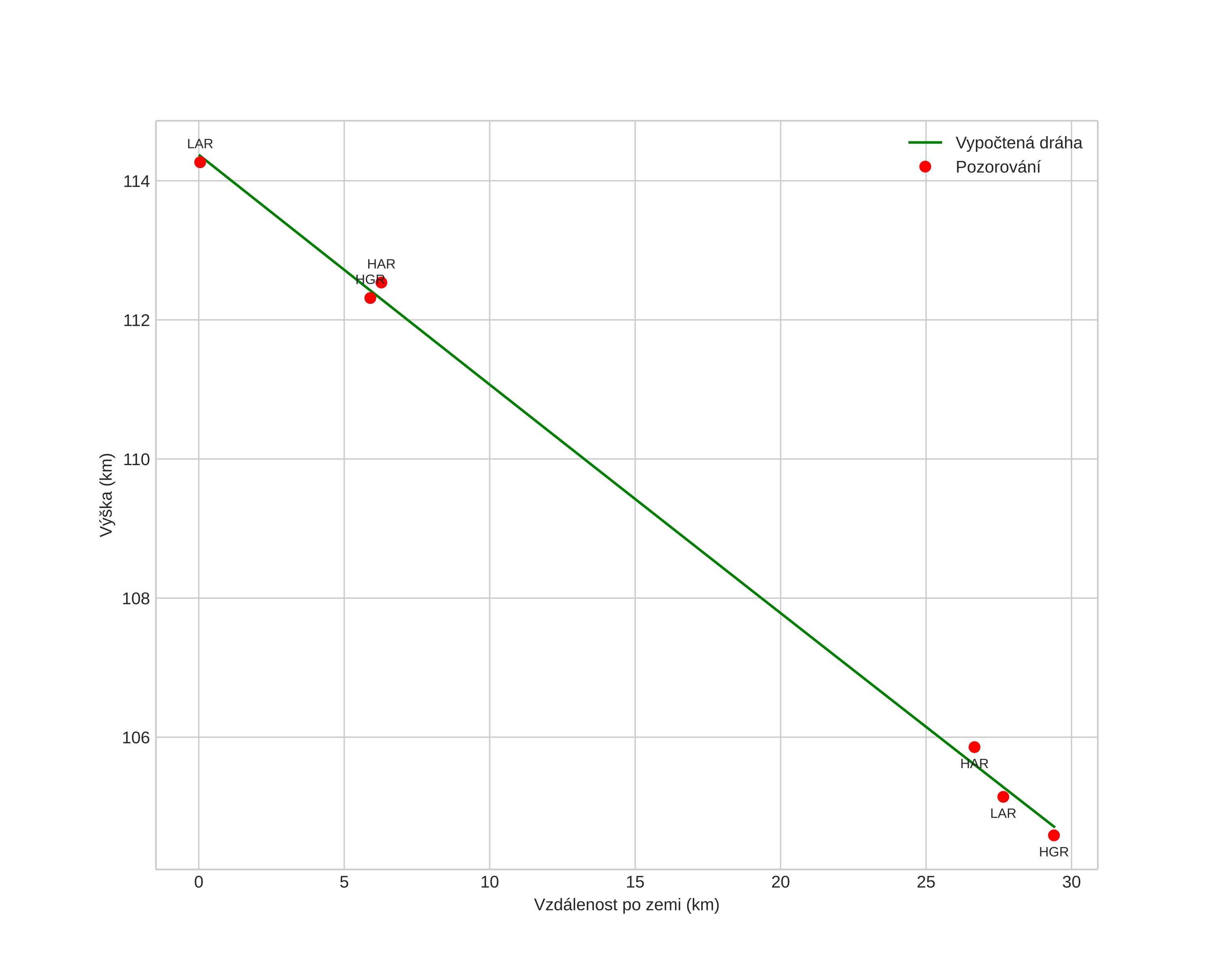
height profile
Meteorens atmosfæriske bane:
Starthøgde: 114,7 km
Slutthøgde: 104,8 km
Startposisjon: 57,795N 13,929E
Sluttposisjon: 57,730N 13,432E
Retning: 256,5°
Fallvinkel: 18,1°
Inngangshastighet: 68,5 km/s
Radiantens rektascensjon: 08:00 (120,2°)
Radiantens deklinasjon: 22,0°
Meteorsverm: sporadisk
Meteoroidens baneelement:
Perihelavstand: 0,538 AU
Eksentrisitet: 0,989
Inklinasjon: 176,8°
Knutelengde: 232,5°
Perihelargument: 265,3°
Midlere anomali: 359,9°
Epoke: 2025 NOV 14 21:23:06
orbit plot

Ikke-interaktivt plott | Interaktivt plott

position vs time
speed and acceleration

Hagar (HGR) cam4


gnomonic
Videoer
• Gnomonisk
• Gnomonisk med koordinater
• Original
• Original med koordinater
Bilder
• Gnomonisk
• Gnomonisk med koordinater
• Original
• Original med koordinater
Tekstfiler
• Deteksjon
• Observasjon
• Koordinater
• Logg
Lysstyrke

Harestua (HAR) cam3


gnomonic
Videoer
• Gnomonisk
• Gnomonisk med koordinater
• Original
• Original med koordinater
Bilder
• Gnomonisk
• Gnomonisk med koordinater
• Original
• Original med koordinater
Tekstfiler
• Deteksjon
• Observasjon
• Koordinater
• Logg
Lysstyrke

Larvik (LAR) cam3


gnomonic
Videoer
• Gnomonisk
• Gnomonisk med koordinater
• Original
• Original med koordinater
Bilder
• Gnomonisk
• Gnomonisk med koordinater
• Original
• Original med koordinater
Tekstfiler
• Deteksjon
• Observasjon
• Koordinater
• Logg
Lysstyrke