🇳🇴 🇬🇧 🇩🇪 🇨🇿 🇫🇮

Meteor über Ulricehamn 2025-11-14 21:23:06 UTC

KML-Datei

Die Karte zeigt die Peilungen für den Meteor. Die helleren Linien zeigen die Richtungen von den Beobachtungsorten beim Erscheinen des Meteors, und die dunkleren Linien, wo er zuletzt gesehen wurde. Der blaue Pfeil zeigt die sichtbare Bahn des Meteors.

static map
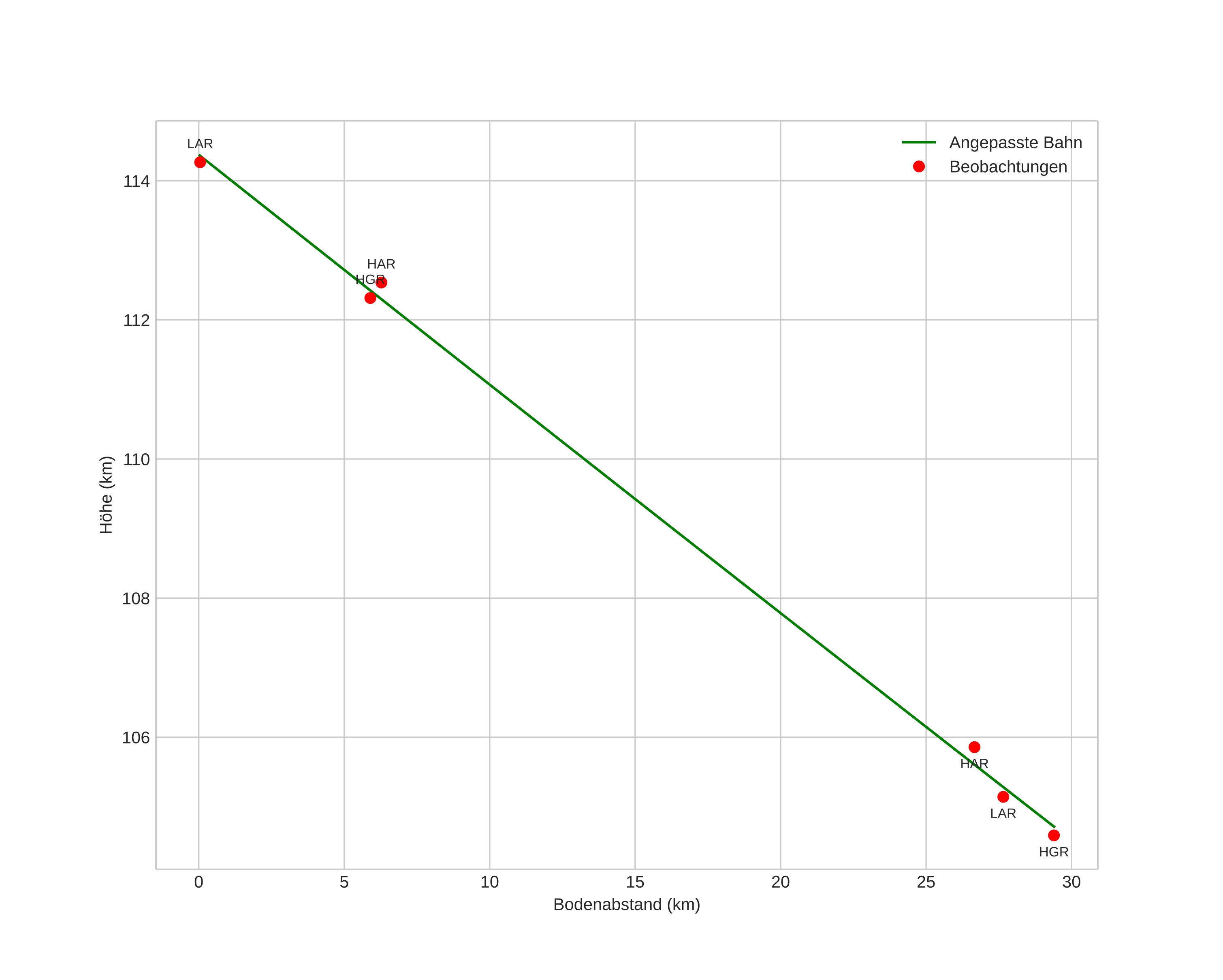
height profile
Atmosphärische Bahn des Meteors:
Anfangshöhe: 114,4 km
Endhöhe: 104,7 km
Startposition: 57,795N 13,912E
Endposition: 57,732N 13,430E
Richtung: 256,4°
Neigungswinkel: 18,2°
Eintrittsgeschwindigkeit: 68,4 km/s
Rektaszension des Radianten: 08:00 (120,1°)
Deklination des Radianten: 22,2°
Meteorstrom: sporadisch
Bahnelemente des Meteoroiden:
Periheldistanz: 0,534 AU
Exzentrizität: 0,990
Inklination: 176,5°
Länge des aufsteigenden Knotens: 232,5°
Argument des Perihels: 265,7°
Mittlere Anomalie: 359,9°
Epoche: 2025 NOV 14 21:23:06
orbit plot

Nicht-interaktives Diagramm

position vs time
speed and acceleration

Hagar (HGR) cam4


gnomonic
Videos
• Gnomonisch
• Gnomonisch mit Koordinaten
• Original
• Original (HEVC)
• Original mit Koordinaten
Bilder
• Gnomonisch
• Gnomonisch mit Koordinaten
• Original
• Original mit Koordinaten
Textdateien
• Erkennung
• Beobachtung
• Koordinaten
• Protokoll
Helligkeit

Harestua (HAR) cam3


gnomonic
Videos
• Gnomonisch
• Gnomonisch mit Koordinaten
• Original
• Original (HEVC)
• Original mit Koordinaten
Bilder
• Gnomonisch
• Gnomonisch mit Koordinaten
• Original
• Original mit Koordinaten
Textdateien
• Erkennung
• Beobachtung
• Koordinaten
• Protokoll
Helligkeit

Larvik (LAR) cam3


gnomonic
Videos
• Gnomonisch
• Gnomonisch mit Koordinaten
• Original
• Original (HEVC)
• Original mit Koordinaten
Bilder
• Gnomonisch
• Gnomonisch mit Koordinaten
• Original
• Original mit Koordinaten
Textdateien
• Erkennung
• Beobachtung
• Koordinaten
• Protokoll
Helligkeit