🇳🇴 🇬🇧 🇩🇪 🇨🇿 🇫🇮

Meteor over Ulricehamn 2025-11-14 21:23:06 UTC

KML-fil

Kartet viser peilingene for meteoren. De lysere linjene viser retningene fra observasjonsstedene for meteorens tilsynekomst, og de mørkere linjene viser hvor den sist kunne sees. Den blå pila viser meteorens synlige ferd.

static map
height profile
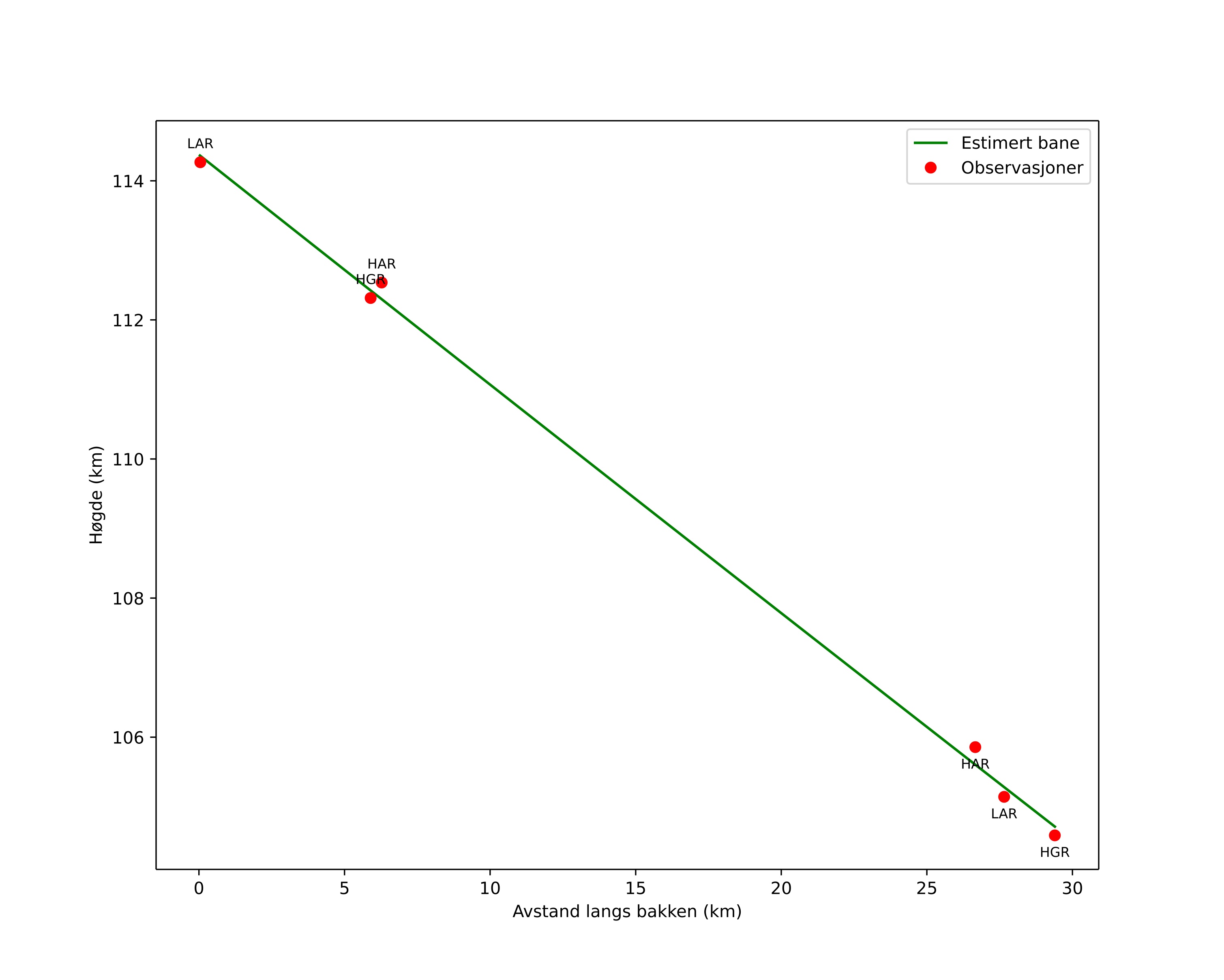
Meteorens atmosfæriske bane:
Starthøgde: 114,4 km
Slutthøgde: 104,7 km
Startposisjon: 57,795N 13,912E
Sluttposisjon: 57,732N 13,430E
Retning: 256,4°
Fallvinkel: 18,2°
Inngangshastighet: 68,4 km/s
Radiantens rektascensjon: 08:00 (120,1°)
Radiantens deklinasjon: 22,2°
Meteorsverm: sporadisk
Meteoroidens baneelement:
Perihelavstand: 0,534 AU
Eksentrisitet: 0,990
Inklinasjon: 176,5°
Knutelengde: 232,5°
Perihelargument: 265,7°
Midlere anomali: 359,9°
Epoke: 2025 NOV 14 21:23:06
orbit plot

Ikke-interaktivt plott

position vs time
speed and acceleration

Hagar (HGR) cam4


gnomonic
Videoer
• Gnomonisk
• Gnomonisk med koordinater
• Original
• Original (HEVC)
• Original med koordinater
Bilder
• Gnomonisk
• Gnomonisk med koordinater
• Original
• Original med koordinater
Tekstfiler
• Deteksjon
• Observasjon
• Koordinater
• Logg
Lysstyrke

Harestua (HAR) cam3


gnomonic
Videoer
• Gnomonisk
• Gnomonisk med koordinater
• Original
• Original (HEVC)
• Original med koordinater
Bilder
• Gnomonisk
• Gnomonisk med koordinater
• Original
• Original med koordinater
Tekstfiler
• Deteksjon
• Observasjon
• Koordinater
• Logg
Lysstyrke

Larvik (LAR) cam3


gnomonic
Videoer
• Gnomonisk
• Gnomonisk med koordinater
• Original
• Original (HEVC)
• Original med koordinater
Bilder
• Gnomonisk
• Gnomonisk med koordinater
• Original
• Original med koordinater
Tekstfiler
• Deteksjon
• Observasjon
• Koordinater
• Logg
Lysstyrke