🇳🇴 🇬🇧 🇩🇪 🇨🇿 🇫🇮

Meteor Älvdalenin yllä 2025-11-16 01:09:24 UTC

KML-tiedosto  |  Interaktiivinen kartta

Kartta näyttää meteorin suuntahavainnot. Vaaleammat viivat näyttävät suunnat havaintoasemilta meteorin ilmestyessä, ja tummemmat viivat näyttävät, missä se viimeksi nähtiin. Sininen nuoli näyttää meteorin näkyvän lennon.

static map
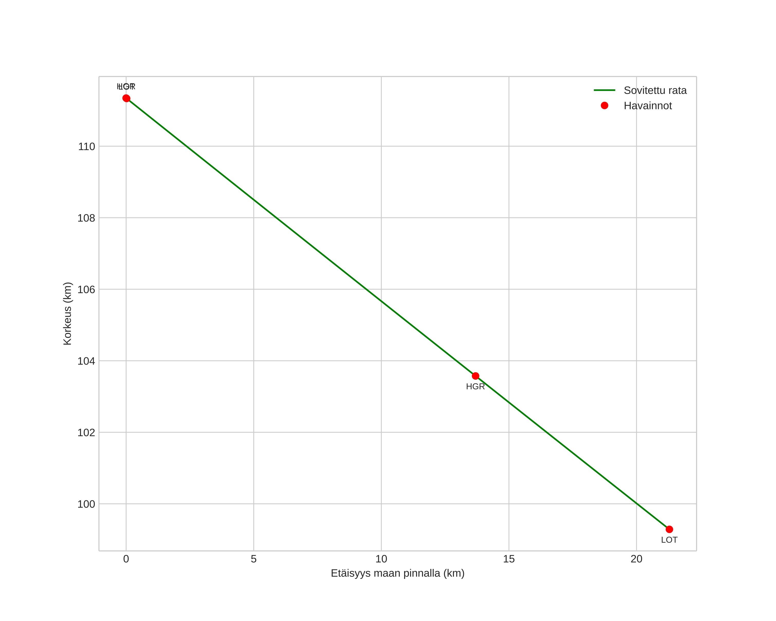
height profile
Meteorin ilmakehärata:
Alkukorkeus: 111,3 km
Loppukorkeus: 99,3 km
Alkupiste: 61,746N 14,236E
Loppupiste: 61,768N 13,834E
Suunta: 276,7°
Kallistuskulma: 29,4°
Tulonopeus: 65,1 km/s
Radiantin R,A,: 10:25 (156,3°)
Radiantin Dekl,: 22,4°
Meteoriparvi: Leonidit
Meteoroidin rataelementit:
Perihelietäisyys: 0,932 AU
Eksentrisyys: 0,418
Inklinaatio: 158,2°
Nousevan solmun pituus: 233,6°
Perihelin argumentti: 143,6°
Keskianomalia: 14,2°
Epookki: 2025 NOV 16 01:09:24
orbit plot

Ei-interaktiivinen kuvaaja | Interaktiivinen kuvaaja

position vs time
speed and acceleration

Hagar (HGR) cam3


gnomonic
Videot:
• Gnomoninen
• Gnomoninen koordinaateilla
• Alkuperäinen
• Alkuperäinen koordinaateilla
Kuvat:
• Gnomoninen
• Gnomoninen koordinaateilla
• Alkuperäinen
• Alkuperäinen koordinaateilla
Tekstitiedostot:
• Havaintoraportti
• Observaatio
• Koordinaatit
• Loki
Kirkkaus

Loten (LOT) cam2


gnomonic
Videot:
• Gnomoninen
• Gnomoninen koordinaateilla
• Alkuperäinen
• Alkuperäinen koordinaateilla
Kuvat:
• Gnomoninen
• Gnomoninen koordinaateilla
• Alkuperäinen
• Alkuperäinen koordinaateilla
Tekstitiedostot:
• Havaintoraportti
• Observaatio
• Koordinaatit
• Loki
Kirkkaus