🇳🇴 🇬🇧 🇩🇪 🇨🇿 🇫🇮

Meteor over Älvdalen 2025-11-16 01:09:24 UTC

KML-fil  |  Interaktivt kart

Kartet viser peilingene for meteoren. De lysere linjene viser retningene fra observasjonsstedene for meteorens tilsynekomst, og de mørkere linjene viser hvor den sist kunne sees. Den blå pila viser meteorens synlige ferd.

static map
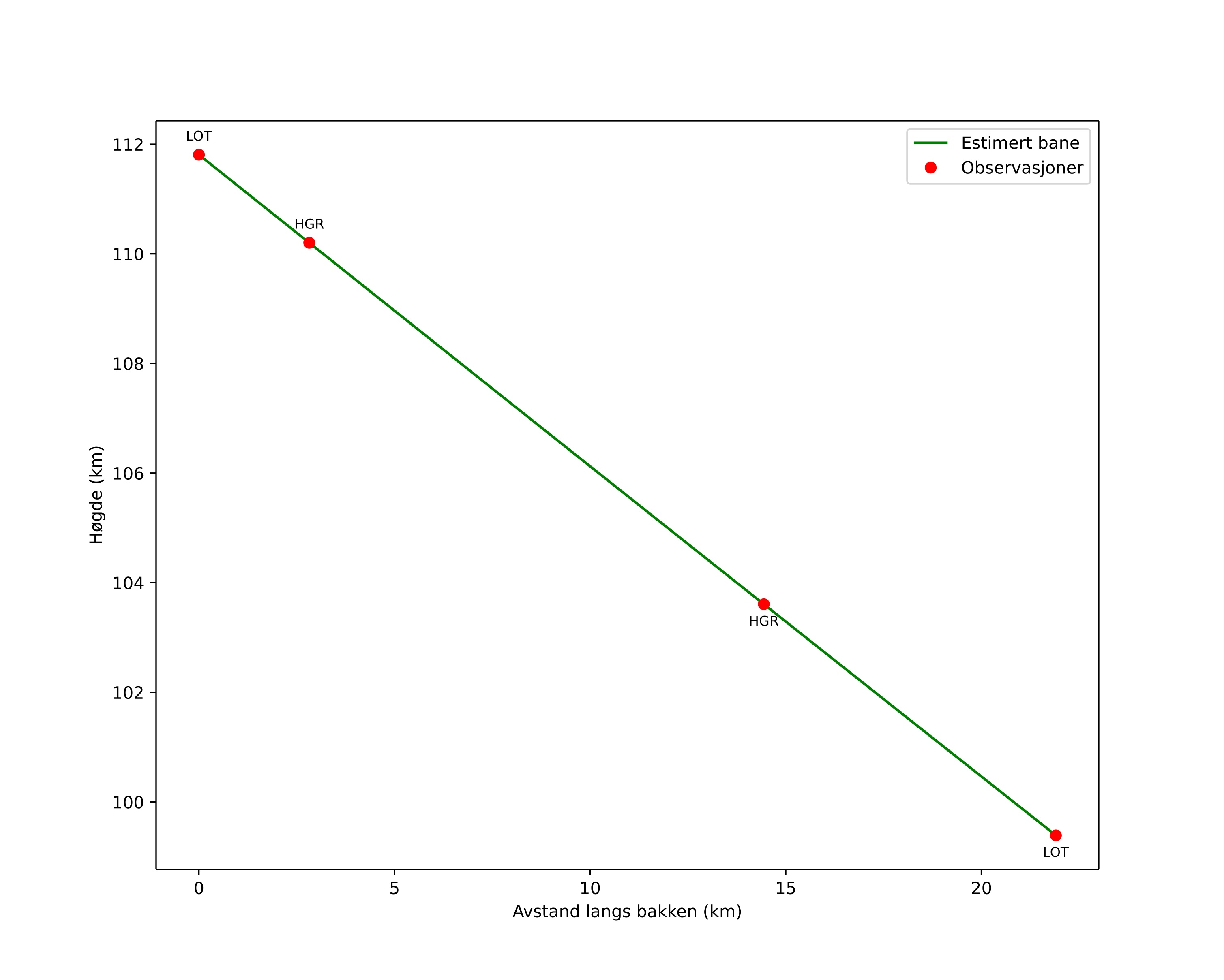
height profile
Meteorens atmosfæriske bane:
Starthøgde: 111,3 km
Slutthøgde: 99,3 km
Startposisjon: 61,746N 14,236E
Sluttposisjon: 61,768N 13,834E
Retning: 276,7°
Fallvinkel: 29,4°
Inngangshastighet: 65,1 km/s
Radiantens rektascensjon: 10:25 (156,3°)
Radiantens deklinasjon: 22,4°
Meteorsverm: Leonidene
Meteoroidens baneelement:
Perihelavstand: 0,932 AU
Eksentrisitet: 0,418
Inklinasjon: 158,2°
Knutelengde: 233,6°
Perihelargument: 143,6°
Midlere anomali: 14,2°
Epoke: 2025 NOV 16 01:09:24
orbit plot

Ikke-interaktivt plott | Interaktivt plott

position vs time
speed and acceleration

Hagar (HGR) cam3


gnomonic
Videoer
• Gnomonisk
• Gnomonisk med koordinater
• Original
• Original med koordinater
Bilder
• Gnomonisk
• Gnomonisk med koordinater
• Original
• Original med koordinater
Tekstfiler
• Deteksjon
• Observasjon
• Koordinater
• Logg
Lysstyrke

Loten (LOT) cam2


gnomonic
Videoer
• Gnomonisk
• Gnomonisk med koordinater
• Original
• Original med koordinater
Bilder
• Gnomonisk
• Gnomonisk med koordinater
• Original
• Original med koordinater
Tekstfiler
• Deteksjon
• Observasjon
• Koordinater
• Logg
Lysstyrke