🇳🇴 🇬🇧 🇩🇪 🇨🇿 🇫🇮

Meteor, poloha: Ås 2025-11-16 02:38:28 UTC

Soubor KML  |  Interaktivní mapa

Mapa zobrazuje dráhy meteoru. Světlejší čáry ukazují směry od pozorovacích stanic při objevení se meteoru a tmavší čáry, kde byl naposledy viděn. Modrá šipka značí viditelnou dráhu meteoru.

static map
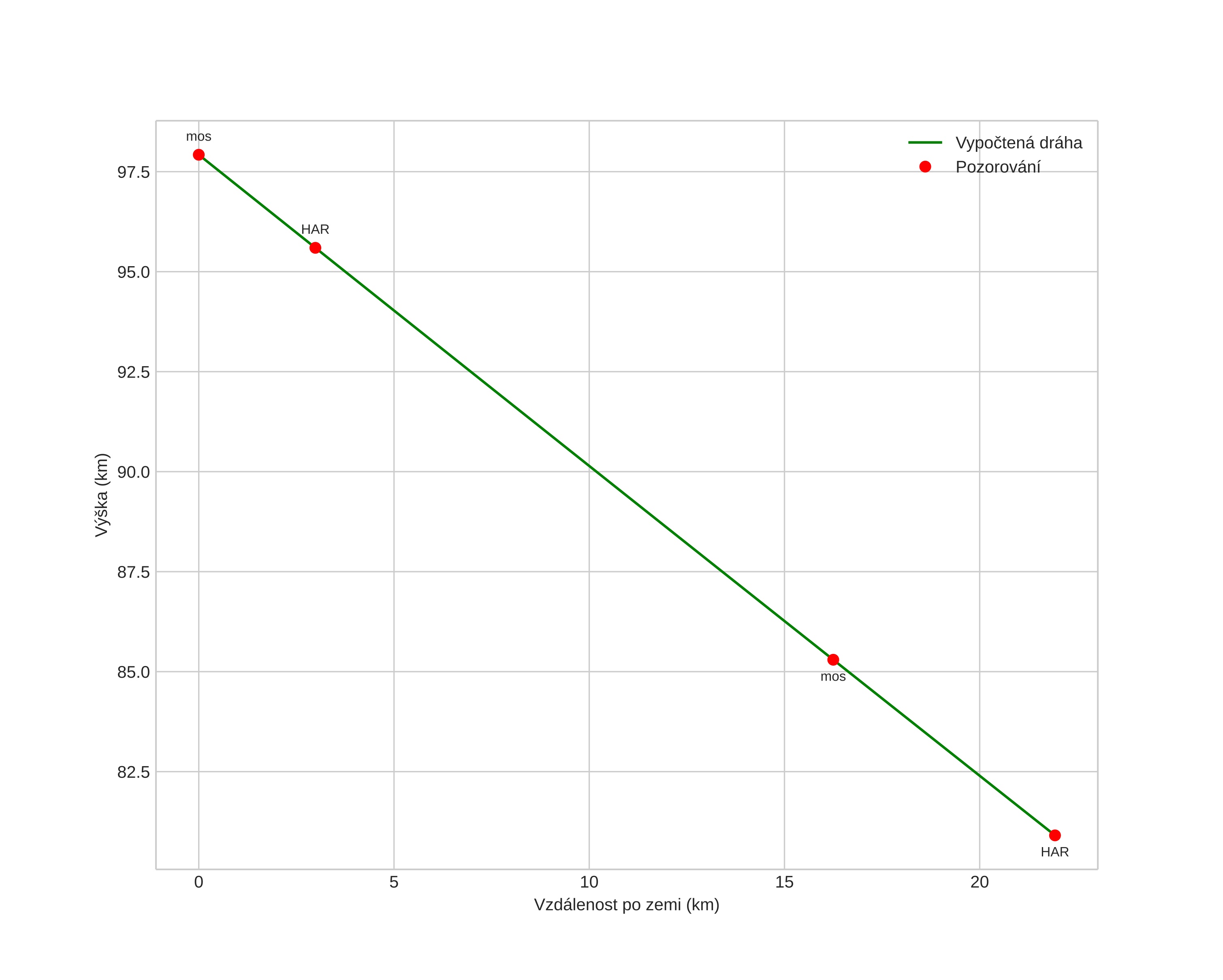
height profile
Atmosférická dráha meteoru:
Počáteční výška: 97,8 km
Konečná výška: 83,7 km
Počáteční poloha: 59,538N 10,562E
Konečná poloha: 59,631N 10,832E
Směr: 55,7°
Sklon: 37,5°
Vstupní rychlost: 27,7 km/s
Rektascenze radiantu: 04:01 (60,4°)
Deklinace radiantu: 14,9°
Meteorický roj: Jižní Tauridy
Elementy dráhy meteoroidu:
Vzdálenost v periheliu: 0,444 AU
Excentricita: 0,790
Sklon dráhy: 5,3°
Délka vzestupného uzlu: 53,7°
Argument perihelia: 104,4°
Střední anomálie: 345,8°
Epocha: 2025 NOV 16 02:38:28
orbit plot

Neinteraktivní graf | Interaktivní graf

position vs time
speed and acceleration