🇳🇴 🇬🇧 🇩🇪 🇨🇿 🇫🇮

Meteor over Ã…s 2025-11-16 02:38:28 UTC

KML-fil  |  Interaktivt kart

Kartet viser peilingene for meteoren. De lysere linjene viser retningene fra observasjonsstedene for meteorens tilsynekomst, og de mørkere linjene viser hvor den sist kunne sees. Den blå pila viser meteorens synlige ferd.

static map
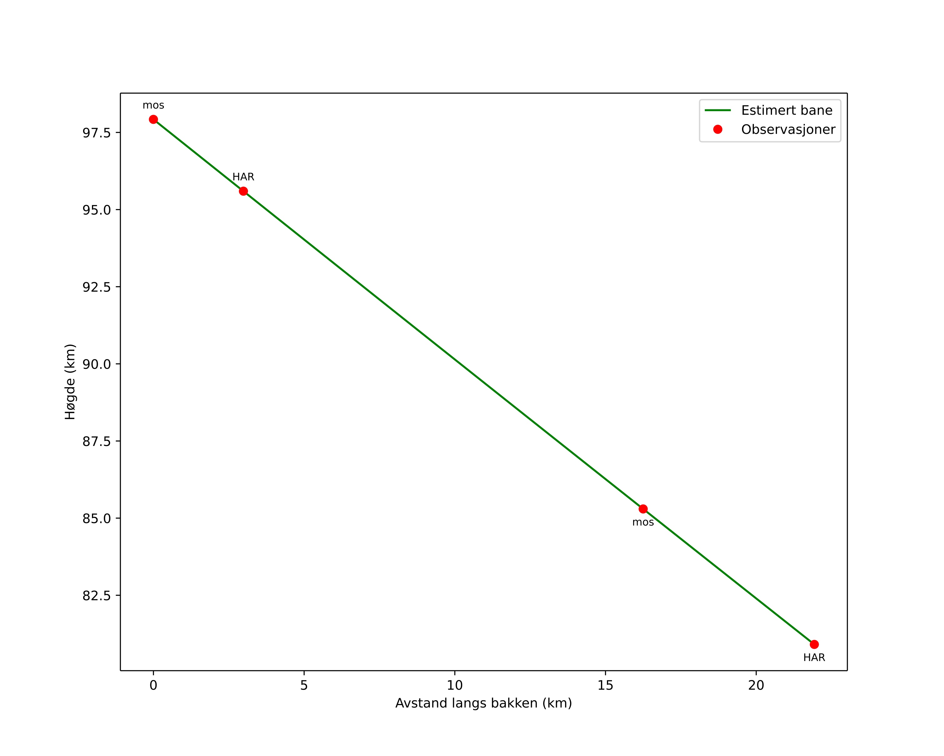
height profile
Meteorens atmosfæriske bane:
Starthøgde: 97,8 km
Slutthøgde: 83,7 km
Startposisjon: 59,538N 10,562E
Sluttposisjon: 59,631N 10,832E
Retning: 55,7°
Fallvinkel: 37,5°
Inngangshastighet: 27,7 km/s
Radiantens rektascensjon: 04:01 (60,4°)
Radiantens deklinasjon: 14,9°
Meteorsverm: Sørlige tauridene
Meteoroidens baneelement:
Perihelavstand: 0,444 AU
Eksentrisitet: 0,790
Inklinasjon: 5,3°
Knutelengde: 53,7°
Perihelargument: 104,4°
Midlere anomali: 345,8°
Epoke: 2025 NOV 16 02:38:28
orbit plot

Ikke-interaktivt plott | Interaktivt plott

position vs time
speed and acceleration

Harestua (HAR) cam7


gnomonic
Videoer
• Gnomonisk
• Gnomonisk med koordinater
• Original
• Original med koordinater
Bilder
• Gnomonisk
• Gnomonisk med koordinater
• Original
• Original med koordinater
Tekstfiler
• Deteksjon
• Observasjon
• Koordinater
• Logg
Lysstyrke

Moss (mos) cam6


gnomonic
Videoer
• Gnomonisk
• Gnomonisk med koordinater
• Original
• Original med koordinater
Bilder
• Gnomonisk
• Gnomonisk med koordinater
• Original
• Original med koordinater
Tekstfiler
• Deteksjon
• Observasjon
• Koordinater
• Logg
Lysstyrke