🇳🇴 🇬🇧 🇩🇪 🇨🇿 🇫🇮

Meteor over Skarnes 2025-11-16 22:28:57 UTC

KML file  |  Interactive map

The map shows the bearings for the meteor. The lighter lines show the directions from the observation sites at the meteor's appearance, and the darker lines show where it was last seen. The blue arrow indicates the visible path of the meteor.

static map
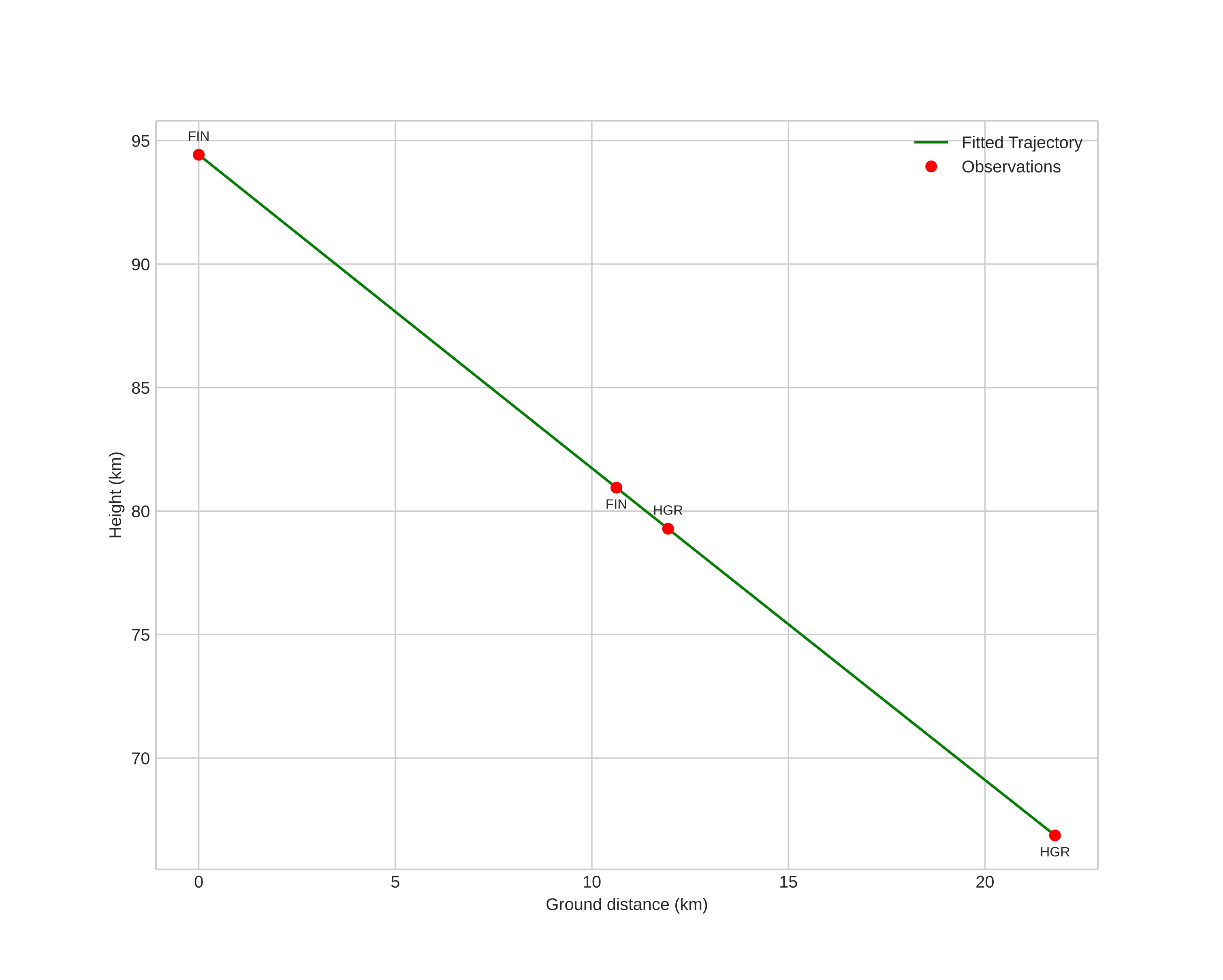
height profile
Meteor's Atmospheric Trajectory:
Start height: 96.1 km
End height: 71.4 km
Start position: 60.175N 11.906E
End position: 60.313N 11.703E
Direction: 323.9°
Inclination angle: 52.5°
Entry speed: 31.2 km/s
Radiant R.A.: 04:34 (68.5°)
Radiant Dec.: 25.0°
Meteor Shower: Northern Taurids
Meteoroid's Orbital Elements:
Perihelion distance: 0.295 AU
Eccentricity: 0.831
Inclination: 4.0°
Long. of Asc. Node: 234.4°
Argument of Perihelion: 303.1°
Mean Anomaly: 342.1°
Epoch: 2025 NOV 16 22:28:57
orbit plot

Non-interactive plot | Interactive plot

position vs time
speed and acceleration

Finnskogen (FIN) cam7


gnomonic
Videos
• Gnomonic
• Gnomonic with coordinates
• Original
• Original with coordinates
Images
• Gnomonic
• Gnomonic with coordinates
• Original
• Original with coordinates
Text Files
• Detection
• Observation
• Coordinates
• Log
Brightness

Hagar (HGR) cam6


gnomonic
Videos
• Gnomonic
• Gnomonic with coordinates
• Original
• Original with coordinates
Images
• Gnomonic
• Gnomonic with coordinates
• Original
• Original with coordinates
Text Files
• Detection
• Observation
• Coordinates
• Log
Brightness