🇳🇴 🇬🇧 🇩🇪 🇨🇿 🇫🇮

Meteor over Skarnes 2025-11-16 22:28:57 UTC

KML-fil  |  Interaktivt kart

Kartet viser peilingene for meteoren. De lysere linjene viser retningene fra observasjonsstedene for meteorens tilsynekomst, og de mørkere linjene viser hvor den sist kunne sees. Den blå pila viser meteorens synlige ferd.

static map
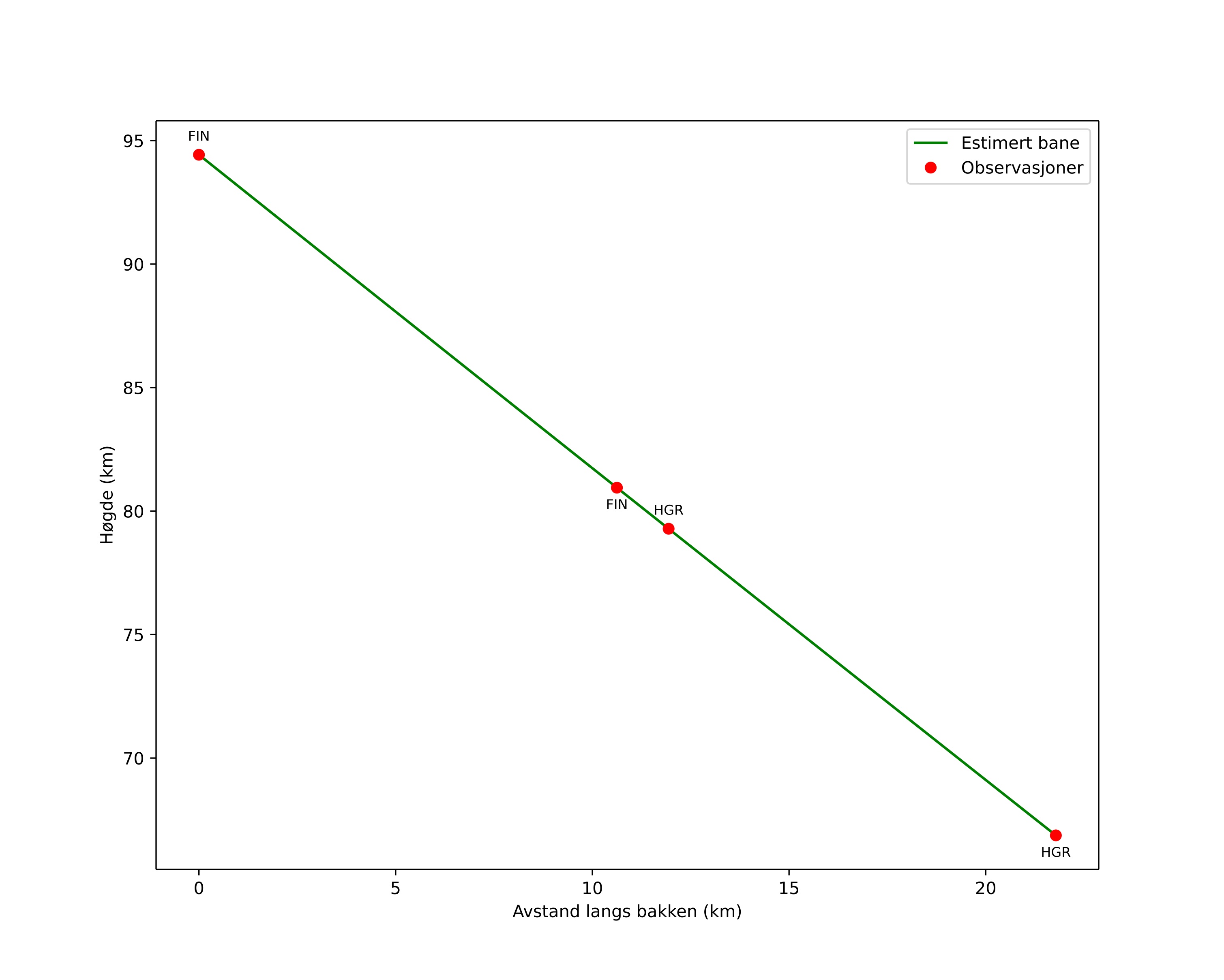
height profile
Meteorens atmosfæriske bane:
Starthøgde: 96,1 km
Slutthøgde: 71,4 km
Startposisjon: 60,175N 11,906E
Sluttposisjon: 60,313N 11,703E
Retning: 323,9°
Fallvinkel: 52,5°
Inngangshastighet: 31,2 km/s
Radiantens rektascensjon: 04:34 (68,5°)
Radiantens deklinasjon: 25,0°
Meteorsverm: Nordlige tauridene
Meteoroidens baneelement:
Perihelavstand: 0,295 AU
Eksentrisitet: 0,831
Inklinasjon: 4,0°
Knutelengde: 234,4°
Perihelargument: 303,1°
Midlere anomali: 342,1°
Epoke: 2025 NOV 16 22:28:57
orbit plot

Ikke-interaktivt plott | Interaktivt plott

position vs time
speed and acceleration

Finnskogen (FIN) cam7


gnomonic
Videoer
• Gnomonisk
• Gnomonisk med koordinater
• Original
• Original med koordinater
Bilder
• Gnomonisk
• Gnomonisk med koordinater
• Original
• Original med koordinater
Tekstfiler
• Deteksjon
• Observasjon
• Koordinater
• Logg
Lysstyrke

Hagar (HGR) cam6


gnomonic
Videoer
• Gnomonisk
• Gnomonisk med koordinater
• Original
• Original med koordinater
Bilder
• Gnomonisk
• Gnomonisk med koordinater
• Original
• Original med koordinater
Tekstfiler
• Deteksjon
• Observasjon
• Koordinater
• Logg
Lysstyrke