🇳🇴 🇬🇧 🇩🇪 🇨🇿 🇫🇮

Meteor Årjängin yllä 2025-11-17 02:55:04 UTC

KML-tiedosto  |  Interaktiivinen kartta

Kartta näyttää meteorin suuntahavainnot. Vaaleammat viivat näyttävät suunnat havaintoasemilta meteorin ilmestyessä, ja tummemmat viivat näyttävät, missä se viimeksi nähtiin. Sininen nuoli näyttää meteorin näkyvän lennon.

static map
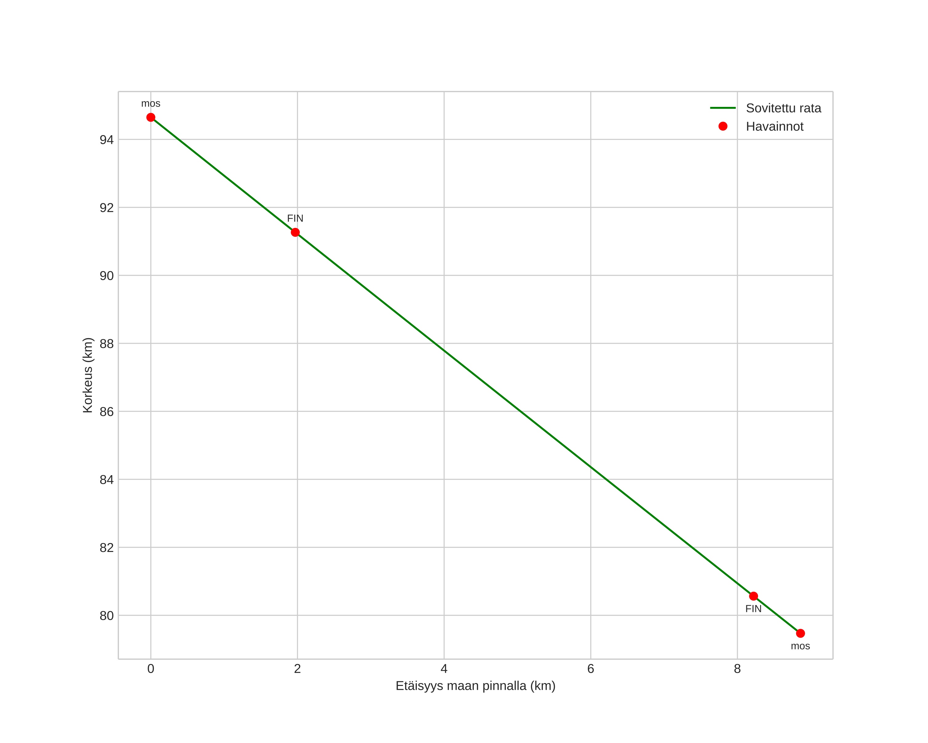
height profile
Meteorin ilmakehärata:
Alkukorkeus: 95,1 km
Loppukorkeus: 79,6 km
Alkupiste: 59,535N 12,417E
Loppupiste: 59,471N 12,318E
Suunta: 218,4°
Kallistuskulma: 59,8°
Tulonopeus: 46,2 km/s
Radiantin R,A,: 12:21 (185,5°)
Radiantin Dekl,: 71,1°
Meteoriparvi: Sporadinen
Meteoroidin rataelementit:
Perihelietäisyys: 0,974 AU
Eksentrisyys: 0,853
Inklinaatio: 76,6°
Nousevan solmun pituus: 234,7°
Perihelin argumentti: 194,4°
Keskianomalia: 359,4°
Epookki: 2025 NOV 17 02:55:04
orbit plot

Ei-interaktiivinen kuvaaja | Interaktiivinen kuvaaja

position vs time
speed and acceleration

Finnskogen (FIN) cam3


gnomonic
Videot:
• Gnomoninen
• Gnomoninen koordinaateilla
• Alkuperäinen
• Alkuperäinen koordinaateilla
Kuvat:
• Gnomoninen
• Gnomoninen koordinaateilla
• Alkuperäinen
• Alkuperäinen koordinaateilla
Tekstitiedostot:
• Havaintoraportti
• Observaatio
• Koordinaatit
• Loki
Kirkkaus

Moss (mos) cam2


gnomonic
Videot:
• Gnomoninen
• Gnomoninen koordinaateilla
• Alkuperäinen
• Alkuperäinen koordinaateilla
Kuvat:
• Gnomoninen
• Gnomoninen koordinaateilla
• Alkuperäinen
• Alkuperäinen koordinaateilla
Tekstitiedostot:
• Havaintoraportti
• Observaatio
• Koordinaatit
• Loki
Kirkkaus