🇳🇴 🇬🇧 🇩🇪 🇨🇿 🇫🇮

Meteor over Årjäng 2025-11-17 02:55:04 UTC

KML-fil  |  Interaktivt kart

Kartet viser peilingene for meteoren. De lysere linjene viser retningene fra observasjonsstedene for meteorens tilsynekomst, og de mørkere linjene viser hvor den sist kunne sees. Den blå pila viser meteorens synlige ferd.

static map
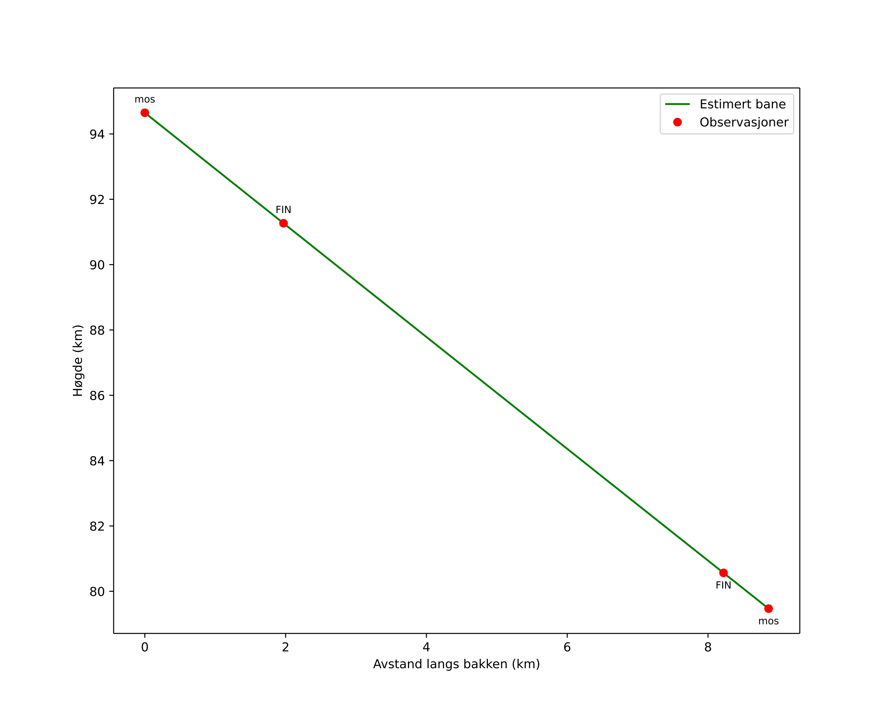
height profile
Meteorens atmosfæriske bane:
Starthøgde: 95,1 km
Slutthøgde: 79,6 km
Startposisjon: 59,535N 12,417E
Sluttposisjon: 59,471N 12,318E
Retning: 218,4°
Fallvinkel: 59,8°
Inngangshastighet: 46,2 km/s
Radiantens rektascensjon: 12:21 (185,5°)
Radiantens deklinasjon: 71,1°
Meteorsverm: sporadisk
Meteoroidens baneelement:
Perihelavstand: 0,974 AU
Eksentrisitet: 0,853
Inklinasjon: 76,6°
Knutelengde: 234,7°
Perihelargument: 194,4°
Midlere anomali: 359,4°
Epoke: 2025 NOV 17 02:55:04
orbit plot

Ikke-interaktivt plott | Interaktivt plott

position vs time
speed and acceleration

Finnskogen (FIN) cam3


gnomonic
Videoer
• Gnomonisk
• Gnomonisk med koordinater
• Original
• Original med koordinater
Bilder
• Gnomonisk
• Gnomonisk med koordinater
• Original
• Original med koordinater
Tekstfiler
• Deteksjon
• Observasjon
• Koordinater
• Logg
Lysstyrke

Moss (mos) cam2


gnomonic
Videoer
• Gnomonisk
• Gnomonisk med koordinater
• Original
• Original med koordinater
Bilder
• Gnomonisk
• Gnomonisk med koordinater
• Original
• Original med koordinater
Tekstfiler
• Deteksjon
• Observasjon
• Koordinater
• Logg
Lysstyrke