🇳🇴 🇬🇧 🇩🇪 🇨🇿 🇫🇮

Meteor Seljordin yllä 2025-11-17 04:51:23 UTC

KML-tiedosto  |  Interaktiivinen kartta

Kartta näyttää meteorin suuntahavainnot. Vaaleammat viivat näyttävät suunnat havaintoasemilta meteorin ilmestyessä, ja tummemmat viivat näyttävät, missä se viimeksi nähtiin. Sininen nuoli näyttää meteorin näkyvän lennon.

static map
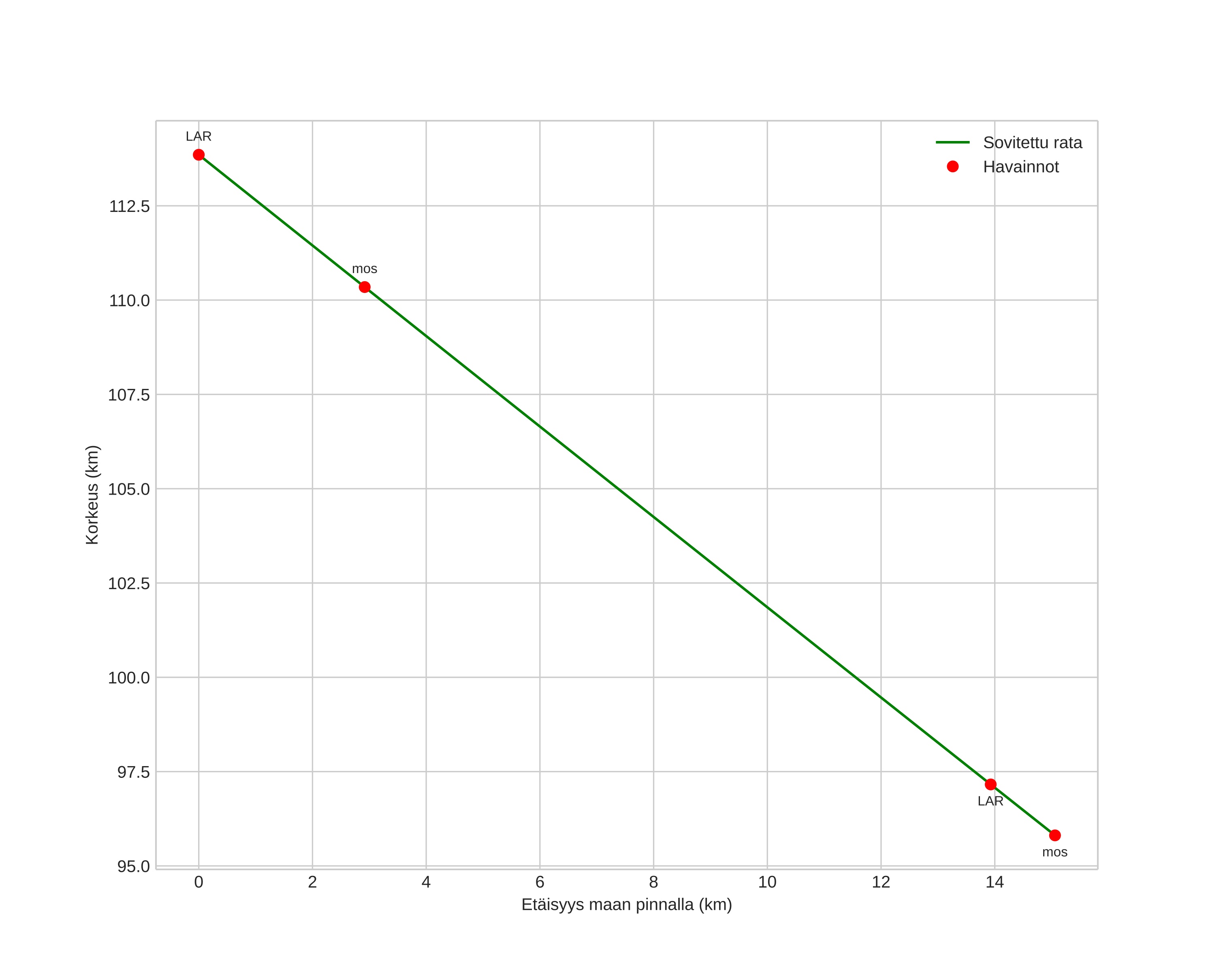
height profile
Meteorin ilmakehärata:
Alkukorkeus: 113,5 km
Loppukorkeus: 95,8 km
Alkupiste: 59,233N 8,906E
Loppupiste: 59,353N 8,792E
Suunta: 334,1°
Kallistuskulma: 50,1°
Tulonopeus: 71,4 km/s
Radiantin R,A,: 10:20 (155,1°)
Radiantin Dekl,: 21,1°
Meteoriparvi: Leonidit
Meteoroidin rataelementit:
Perihelietäisyys: 0,973 AU
Eksentrisyys: 0,894
Inklinaatio: 162,5°
Nousevan solmun pituus: 234,7°
Perihelin argumentti: 164,9°
Keskianomalia: 0,4°
Epookki: 2025 NOV 17 04:51:23
orbit plot

Ei-interaktiivinen kuvaaja | Interaktiivinen kuvaaja

position vs time
speed and acceleration

Larvik (LAR) cam6


gnomonic
Videot:
• Gnomoninen
• Gnomoninen koordinaateilla
• Alkuperäinen
• Alkuperäinen koordinaateilla
Kuvat:
• Gnomoninen
• Gnomoninen koordinaateilla
• Alkuperäinen
• Alkuperäinen koordinaateilla
Tekstitiedostot:
• Havaintoraportti
• Observaatio
• Koordinaatit
• Loki
Kirkkaus

Moss (mos) cam5


gnomonic
Videot:
• Gnomoninen
• Gnomoninen koordinaateilla
• Alkuperäinen
• Alkuperäinen koordinaateilla
Kuvat:
• Gnomoninen
• Gnomoninen koordinaateilla
• Alkuperäinen
• Alkuperäinen koordinaateilla
Tekstitiedostot:
• Havaintoraportti
• Observaatio
• Koordinaatit
• Loki
Kirkkaus