🇳🇴 🇬🇧 🇩🇪 🇨🇿 🇫🇮

Meteor over Seljord 2025-11-17 04:51:23 UTC

KML-fil  |  Interaktivt kart

Kartet viser peilingene for meteoren. De lysere linjene viser retningene fra observasjonsstedene for meteorens tilsynekomst, og de mørkere linjene viser hvor den sist kunne sees. Den blå pila viser meteorens synlige ferd.

static map
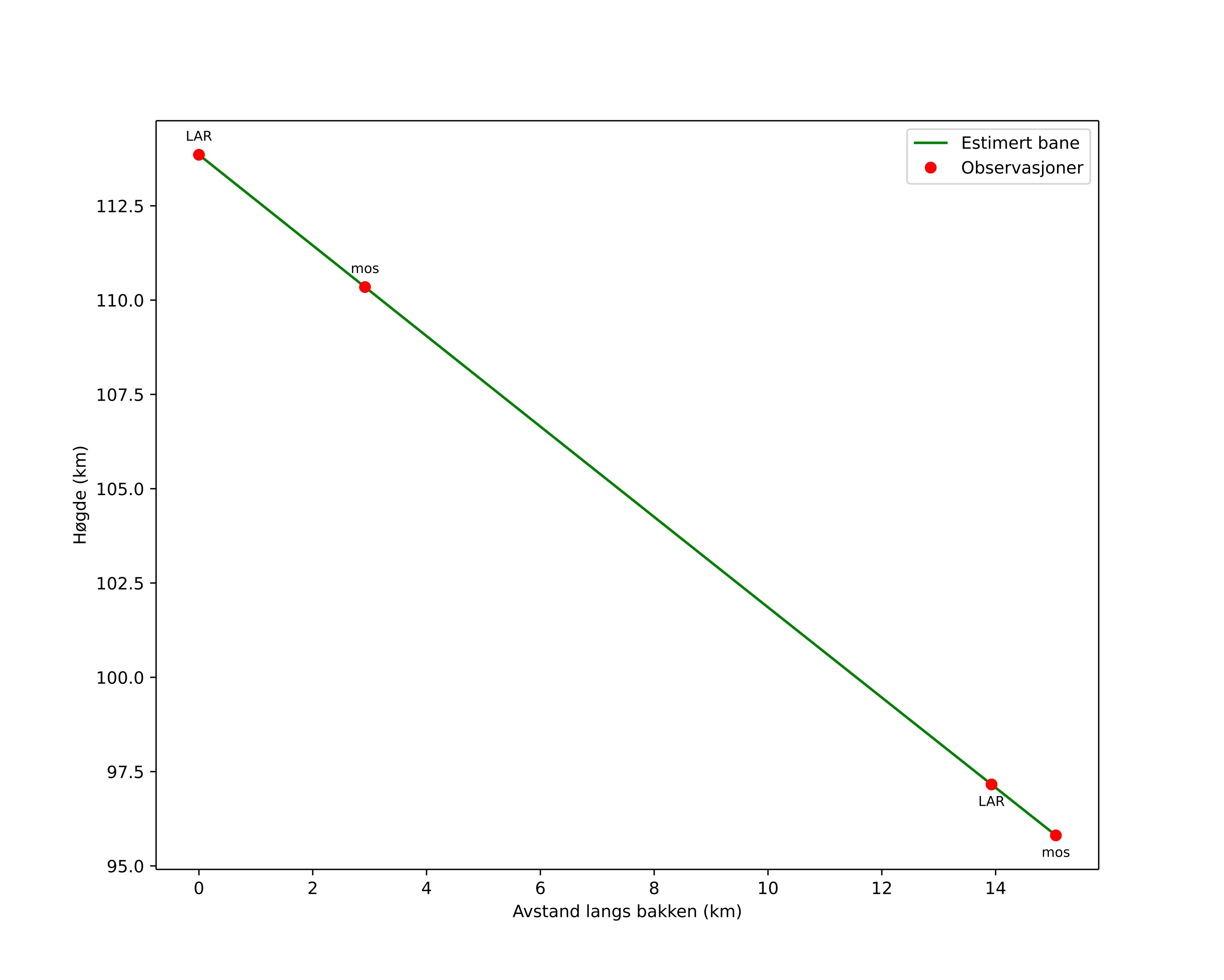
height profile
Meteorens atmosfæriske bane:
Starthøgde: 113,5 km
Slutthøgde: 95,8 km
Startposisjon: 59,233N 8,906E
Sluttposisjon: 59,353N 8,792E
Retning: 334,1°
Fallvinkel: 50,1°
Inngangshastighet: 71,4 km/s
Radiantens rektascensjon: 10:20 (155,1°)
Radiantens deklinasjon: 21,1°
Meteorsverm: Leonidene
Meteoroidens baneelement:
Perihelavstand: 0,973 AU
Eksentrisitet: 0,894
Inklinasjon: 162,5°
Knutelengde: 234,7°
Perihelargument: 164,9°
Midlere anomali: 0,4°
Epoke: 2025 NOV 17 04:51:23
orbit plot

Ikke-interaktivt plott | Interaktivt plott

position vs time
speed and acceleration

Larvik (LAR) cam6


gnomonic
Videoer
• Gnomonisk
• Gnomonisk med koordinater
• Original
• Original med koordinater
Bilder
• Gnomonisk
• Gnomonisk med koordinater
• Original
• Original med koordinater
Tekstfiler
• Deteksjon
• Observasjon
• Koordinater
• Logg
Lysstyrke

Moss (mos) cam5


gnomonic
Videoer
• Gnomonisk
• Gnomonisk med koordinater
• Original
• Original med koordinater
Bilder
• Gnomonisk
• Gnomonisk med koordinater
• Original
• Original med koordinater
Tekstfiler
• Deteksjon
• Observasjon
• Koordinater
• Logg
Lysstyrke