🇳🇴 🇬🇧 🇩🇪 🇨🇿 🇫🇮

Meteor Raufossin yllä 2025-11-17 05:53:38 UTC

KML-tiedosto  |  Interaktiivinen kartta

Kartta näyttää meteorin suuntahavainnot. Vaaleammat viivat näyttävät suunnat havaintoasemilta meteorin ilmestyessä, ja tummemmat viivat näyttävät, missä se viimeksi nähtiin. Sininen nuoli näyttää meteorin näkyvän lennon.

static map
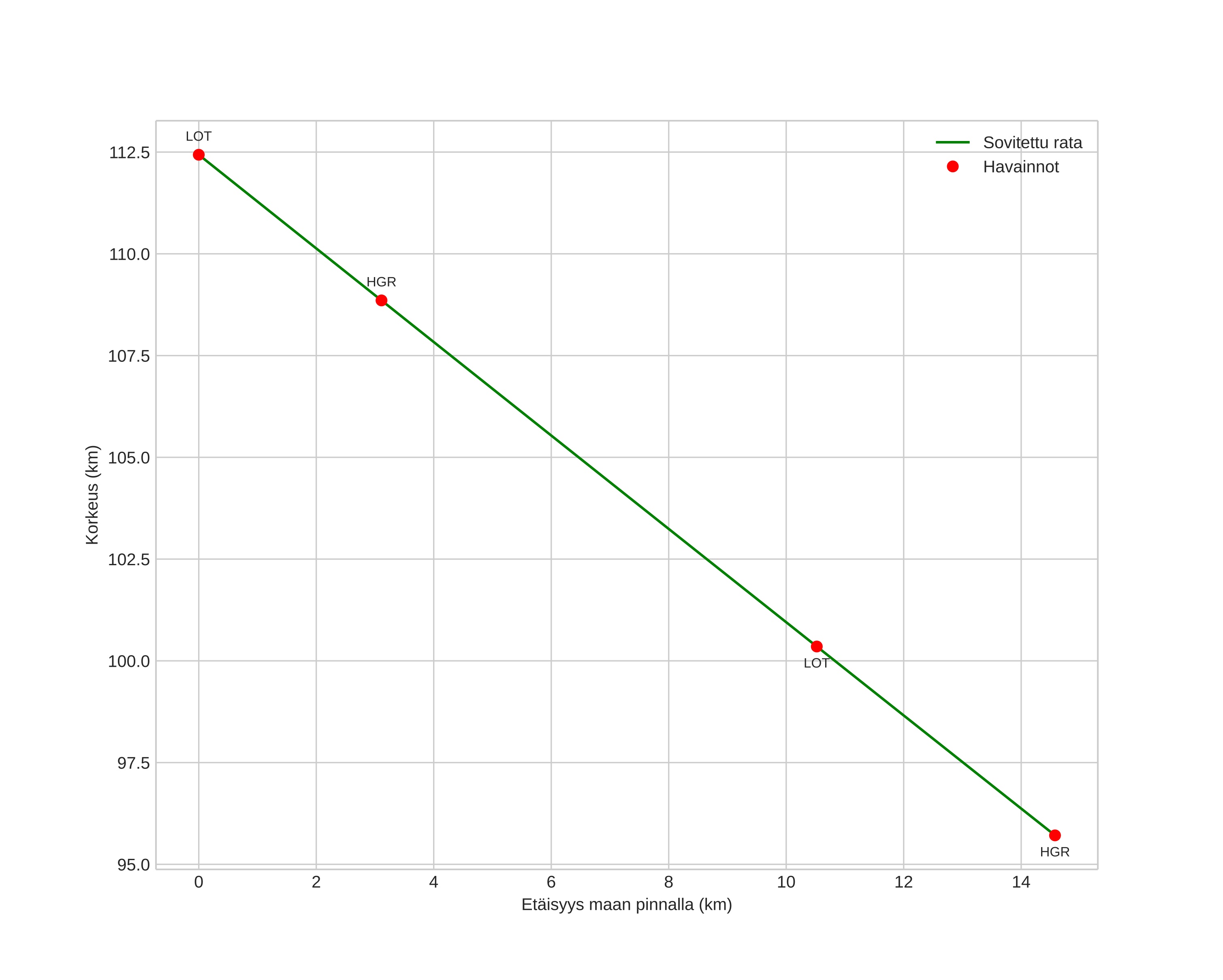
height profile
Meteorin ilmakehärata:
Alkukorkeus: 110,8 km
Loppukorkeus: 94,3 km
Alkupiste: 60,734N 10,320E
Loppupiste: 60,766N 10,567E
Suunta: 75,1°
Kallistuskulma: 49,9°
Tulonopeus: 65,4 km/s
Radiantin R,A,: 06:57 (104,3°)
Radiantin Dekl,: 35,5°
Meteoriparvi: Sporadinen
Meteoroidin rataelementit:
Perihelietäisyys: 0,236 AU
Eksentrisyys: 1,144
Inklinaatio: 138,6°
Nousevan solmun pituus: 234,8°
Perihelin argumentti: 295,3°
Keskianomalia: -14,5°
Epookki: 2025 NOV 17 05:53:38
orbit plot

Ei-interaktiivinen kuvaaja | Interaktiivinen kuvaaja

position vs time
speed and acceleration

Hagar (HGR) cam7


gnomonic
Videot:
• Gnomoninen
• Gnomoninen koordinaateilla
• Alkuperäinen
• Alkuperäinen koordinaateilla
Kuvat:
• Gnomoninen
• Gnomoninen koordinaateilla
• Alkuperäinen
• Alkuperäinen koordinaateilla
Tekstitiedostot:
• Havaintoraportti
• Observaatio
• Koordinaatit
• Loki
Kirkkaus

Loten (LOT) cam7


gnomonic
Videot:
• Gnomoninen
• Gnomoninen koordinaateilla
• Alkuperäinen
• Alkuperäinen koordinaateilla
Kuvat:
• Gnomoninen
• Gnomoninen koordinaateilla
• Alkuperäinen
• Alkuperäinen koordinaateilla
Tekstitiedostot:
• Havaintoraportti
• Observaatio
• Koordinaatit
• Loki
Kirkkaus