🇳🇴 🇬🇧 🇩🇪 🇨🇿 🇫🇮

Meteor over Raufoss 2025-11-17 05:53:38 UTC

KML-fil  |  Interaktivt kart

Kartet viser peilingene for meteoren. De lysere linjene viser retningene fra observasjonsstedene for meteorens tilsynekomst, og de mørkere linjene viser hvor den sist kunne sees. Den blå pila viser meteorens synlige ferd.

static map
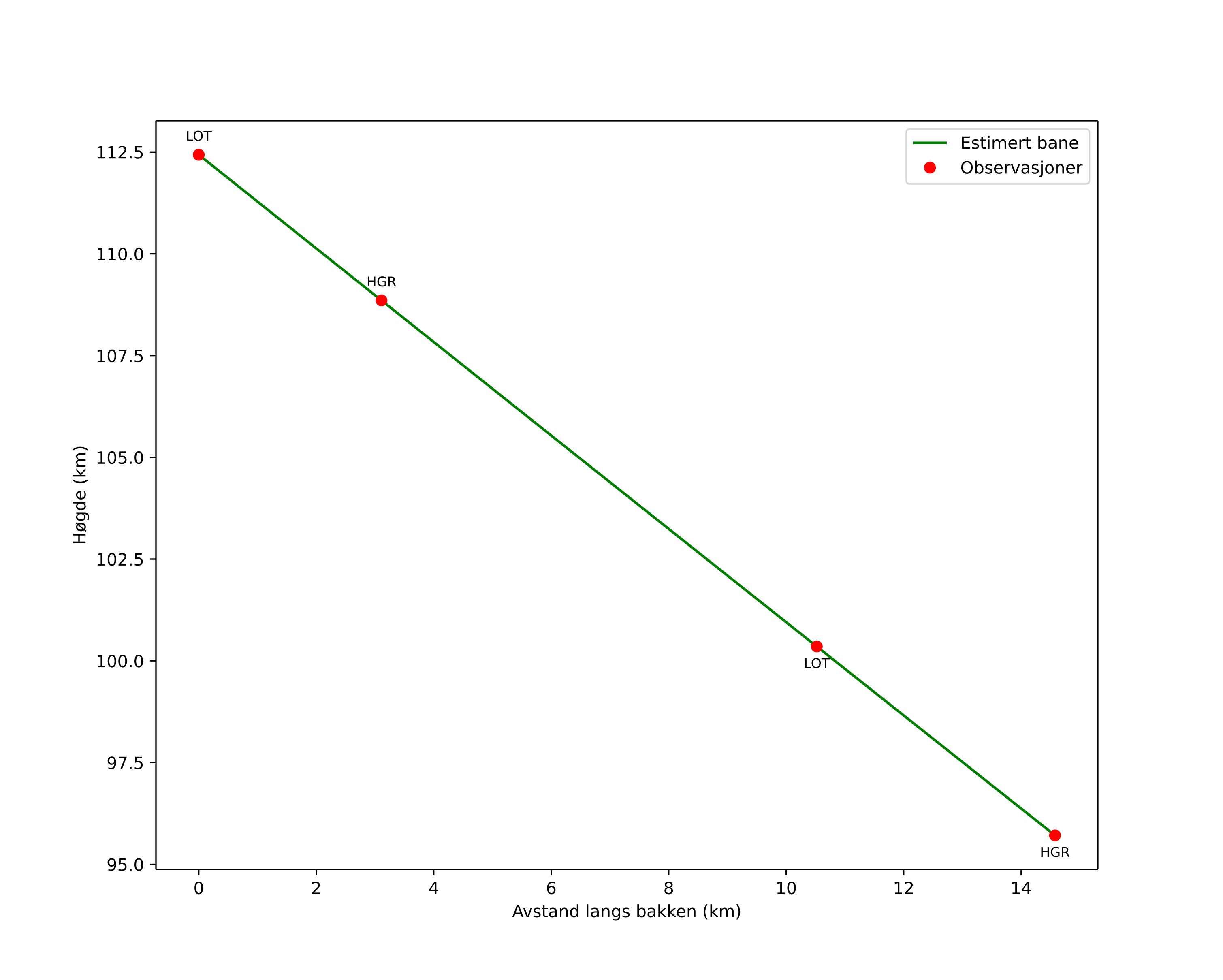
height profile
Meteorens atmosfæriske bane:
Starthøgde: 110,8 km
Slutthøgde: 94,3 km
Startposisjon: 60,734N 10,320E
Sluttposisjon: 60,766N 10,567E
Retning: 75,1°
Fallvinkel: 49,9°
Inngangshastighet: 65,4 km/s
Radiantens rektascensjon: 06:57 (104,3°)
Radiantens deklinasjon: 35,5°
Meteorsverm: sporadisk
Meteoroidens baneelement:
Perihelavstand: 0,236 AU
Eksentrisitet: 1,144
Inklinasjon: 138,6°
Knutelengde: 234,8°
Perihelargument: 295,3°
Midlere anomali: -14,5°
Epoke: 2025 NOV 17 05:53:38
orbit plot

Ikke-interaktivt plott | Interaktivt plott

position vs time
speed and acceleration

Hagar (HGR) cam7


gnomonic
Videoer
• Gnomonisk
• Gnomonisk med koordinater
• Original
• Original med koordinater
Bilder
• Gnomonisk
• Gnomonisk med koordinater
• Original
• Original med koordinater
Tekstfiler
• Deteksjon
• Observasjon
• Koordinater
• Logg
Lysstyrke

Loten (LOT) cam7


gnomonic
Videoer
• Gnomonisk
• Gnomonisk med koordinater
• Original
• Original med koordinater
Bilder
• Gnomonisk
• Gnomonisk med koordinater
• Original
• Original med koordinater
Tekstfiler
• Deteksjon
• Observasjon
• Koordinater
• Logg
Lysstyrke