🇳🇴 🇬🇧 🇩🇪 🇨🇿 🇫🇮

Meteor over Løkken 2025-11-18 01:43:53 UTC

KML-fil  |  Interaktivt kart

Kartet viser peilingene for meteoren. De lysere linjene viser retningene fra observasjonsstedene for meteorens tilsynekomst, og de mørkere linjene viser hvor den sist kunne sees. Den blå pila viser meteorens synlige ferd.

static map
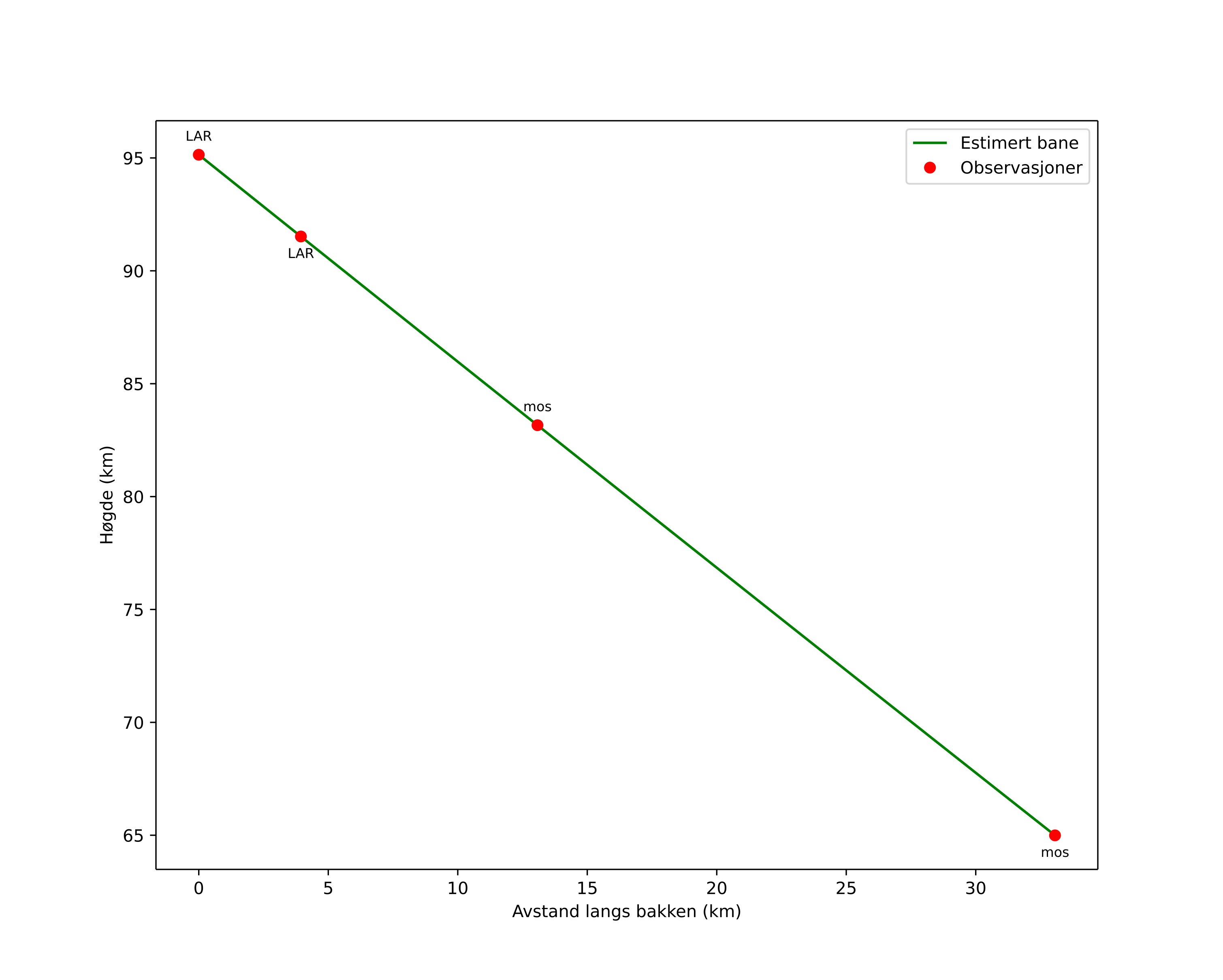
height profile
Meteorens atmosfæriske bane:
Starthøgde: 99,4 km
Slutthøgde: 63,8 km
Startposisjon: 57,583N 8,910E
Sluttposisjon: 57,862N 9,299E
Retning: 36,4°
Fallvinkel: 42,6°
Inngangshastighet: 22,7 km/s
Radiantens rektascensjon: 04:12 (63,2°)
Radiantens deklinasjon: 11,3°
Meteorsverm: Sørlige tauridene
Meteoroidens baneelement:
Perihelavstand: 0,518 AU
Eksentrisitet: 0,629
Inklinasjon: 7,0°
Knutelengde: 55,6°
Perihelargument: 103,4°
Midlere anomali: 329,7°
Epoke: 2025 NOV 18 01:43:53
orbit plot

Ikke-interaktivt plott | Interaktivt plott

position vs time
speed and acceleration

Larvik (LAR) cam4


gnomonic
Videoer
• Gnomonisk
• Gnomonisk med koordinater
• Original
• Original med koordinater
Bilder
• Gnomonisk
• Gnomonisk med koordinater
• Original
• Original med koordinater
Tekstfiler
• Deteksjon
• Observasjon
• Koordinater
• Logg
Lysstyrke

Moss (mos) cam4


gnomonic
Videoer
• Gnomonisk
• Gnomonisk med koordinater
• Original
• Original med koordinater
Bilder
• Gnomonisk
• Gnomonisk med koordinater
• Original
• Original med koordinater
Tekstfiler
• Deteksjon
• Observasjon
• Koordinater
• Logg
Lysstyrke