🇳🇴 🇬🇧 🇩🇪 🇨🇿 🇫🇮

Meteor, poloha: Løkken 2025-11-18 01:43:53 UTC

Soubor KML  |  Interaktivní mapa

Mapa zobrazuje dráhy meteoru. Světlejší čáry ukazují směry od pozorovacích stanic při objevení se meteoru a tmavší čáry, kde byl naposledy viděn. Modrá šipka značí viditelnou dráhu meteoru.

static map
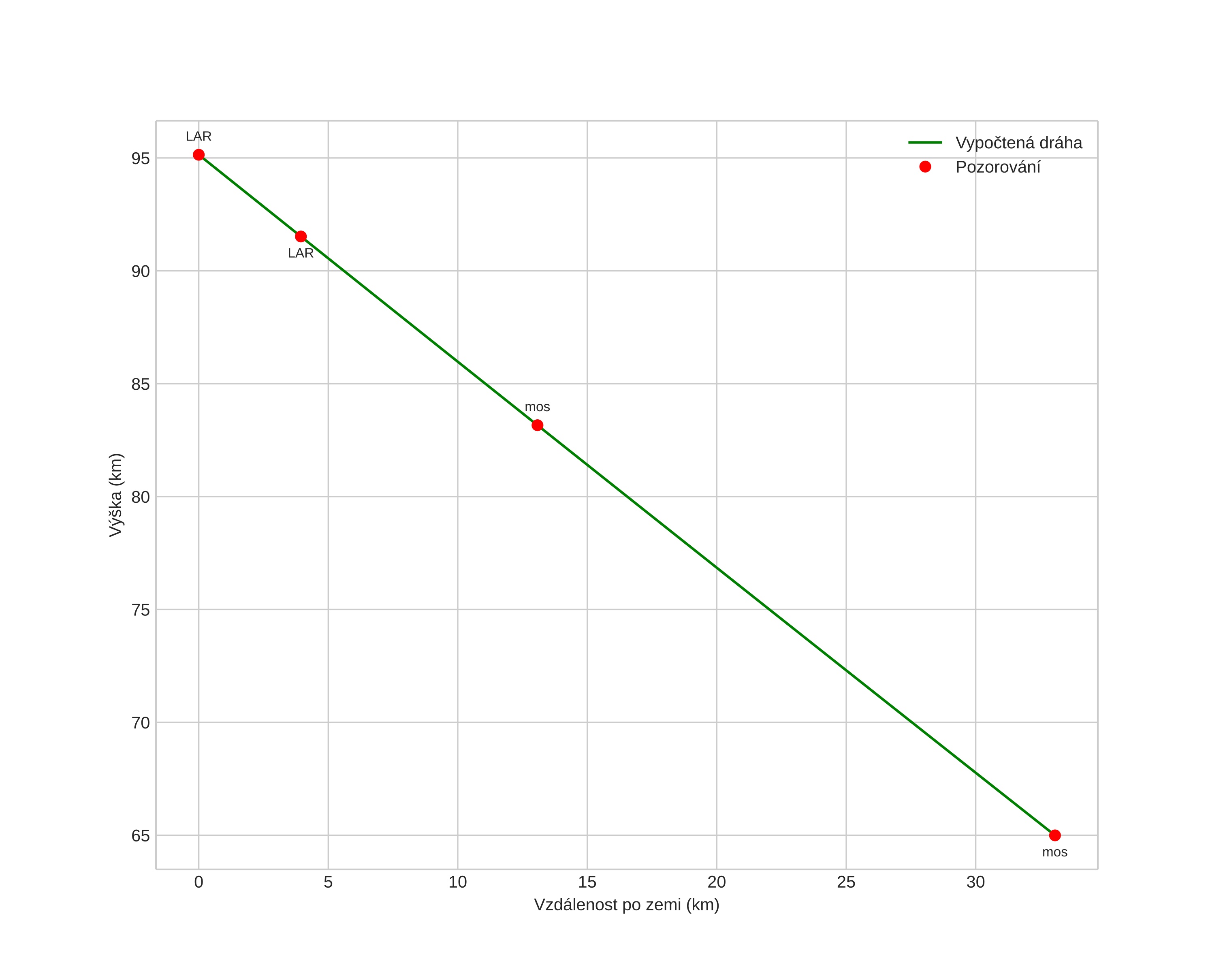
height profile
Atmosférická dráha meteoru:
Počáteční výška: 99,4 km
Konečná výška: 63,8 km
Počáteční poloha: 57,583N 8,910E
Konečná poloha: 57,862N 9,299E
Směr: 36,4°
Sklon: 42,6°
Vstupní rychlost: 22,7 km/s
Rektascenze radiantu: 04:12 (63,2°)
Deklinace radiantu: 11,3°
Meteorický roj: Jižní Tauridy
Elementy dráhy meteoroidu:
Vzdálenost v periheliu: 0,518 AU
Excentricita: 0,629
Sklon dráhy: 7,0°
Délka vzestupného uzlu: 55,6°
Argument perihelia: 103,4°
Střední anomálie: 329,7°
Epocha: 2025 NOV 18 01:43:53
orbit plot

Neinteraktivní graf | Interaktivní graf

position vs time
speed and acceleration