🇳🇴 🇬🇧 🇩🇪 🇨🇿 🇫🇮

Meteor Løkkenin yllä 2025-11-18 01:43:53 UTC

KML-tiedosto  |  Interaktiivinen kartta

Kartta näyttää meteorin suuntahavainnot. Vaaleammat viivat näyttävät suunnat havaintoasemilta meteorin ilmestyessä, ja tummemmat viivat näyttävät, missä se viimeksi nähtiin. Sininen nuoli näyttää meteorin näkyvän lennon.

static map
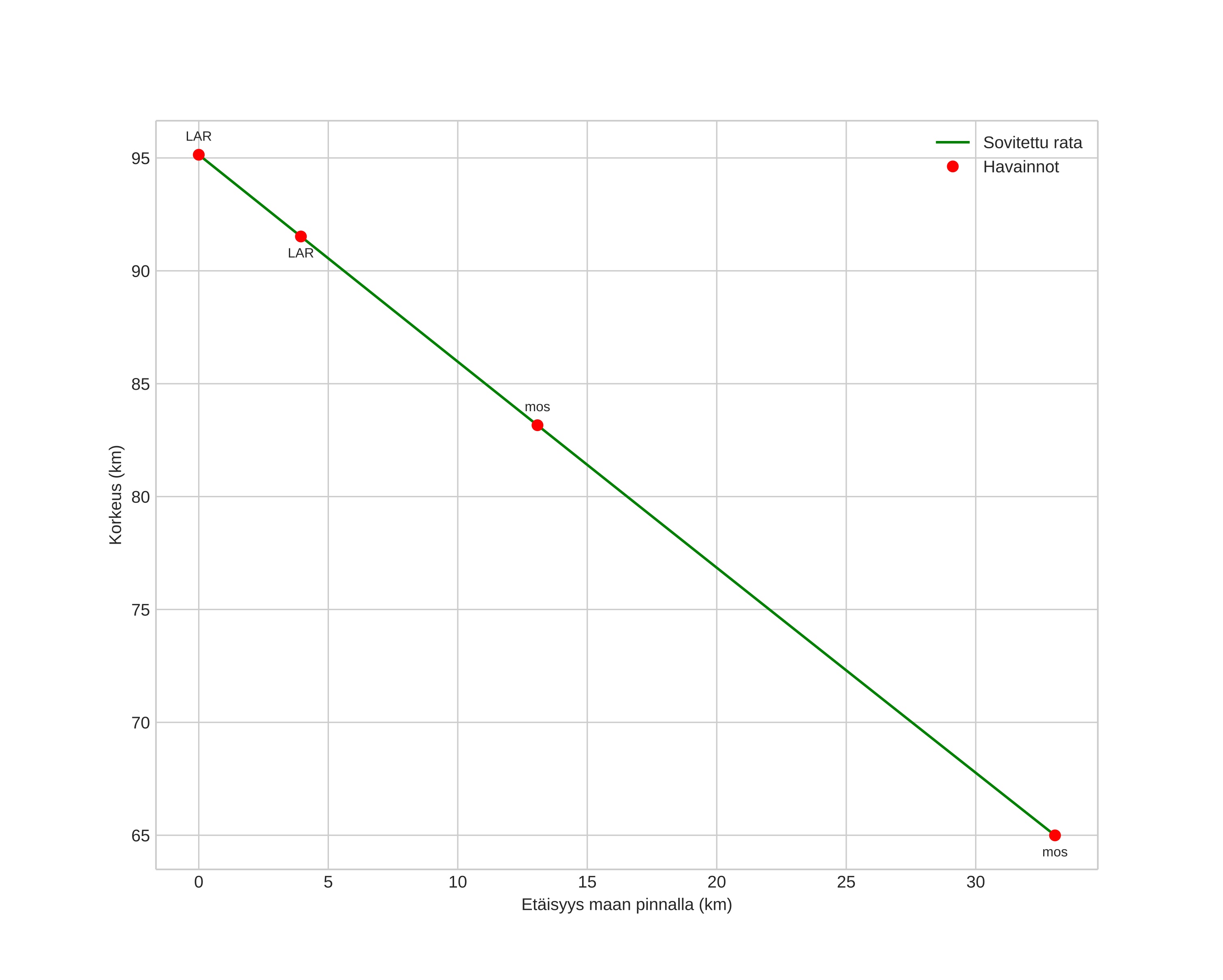
height profile
Meteorin ilmakehärata:
Alkukorkeus: 99,4 km
Loppukorkeus: 63,8 km
Alkupiste: 57,583N 8,910E
Loppupiste: 57,862N 9,299E
Suunta: 36,4°
Kallistuskulma: 42,6°
Tulonopeus: 22,7 km/s
Radiantin R,A,: 04:12 (63,2°)
Radiantin Dekl,: 11,3°
Meteoriparvi: Eteläiset tauridit
Meteoroidin rataelementit:
Perihelietäisyys: 0,518 AU
Eksentrisyys: 0,629
Inklinaatio: 7,0°
Nousevan solmun pituus: 55,6°
Perihelin argumentti: 103,4°
Keskianomalia: 329,7°
Epookki: 2025 NOV 18 01:43:53
orbit plot

Ei-interaktiivinen kuvaaja | Interaktiivinen kuvaaja

position vs time
speed and acceleration

Larvik (LAR) cam4


gnomonic
Videot:
• Gnomoninen
• Gnomoninen koordinaateilla
• Alkuperäinen
• Alkuperäinen koordinaateilla
Kuvat:
• Gnomoninen
• Gnomoninen koordinaateilla
• Alkuperäinen
• Alkuperäinen koordinaateilla
Tekstitiedostot:
• Havaintoraportti
• Observaatio
• Koordinaatit
• Loki
Kirkkaus

Moss (mos) cam4


gnomonic
Videot:
• Gnomoninen
• Gnomoninen koordinaateilla
• Alkuperäinen
• Alkuperäinen koordinaateilla
Kuvat:
• Gnomoninen
• Gnomoninen koordinaateilla
• Alkuperäinen
• Alkuperäinen koordinaateilla
Tekstitiedostot:
• Havaintoraportti
• Observaatio
• Koordinaatit
• Loki
Kirkkaus