🇳🇴 🇬🇧 🇩🇪 🇨🇿 🇫🇮

Meteor over Lindesberg 2025-11-18 04:13:32 UTC

KML file

The map shows the bearings for the meteor. The lighter lines show the directions from the observation sites at the meteor's appearance, and the darker lines show where it was last seen. The blue arrow indicates the visible path of the meteor.

static map
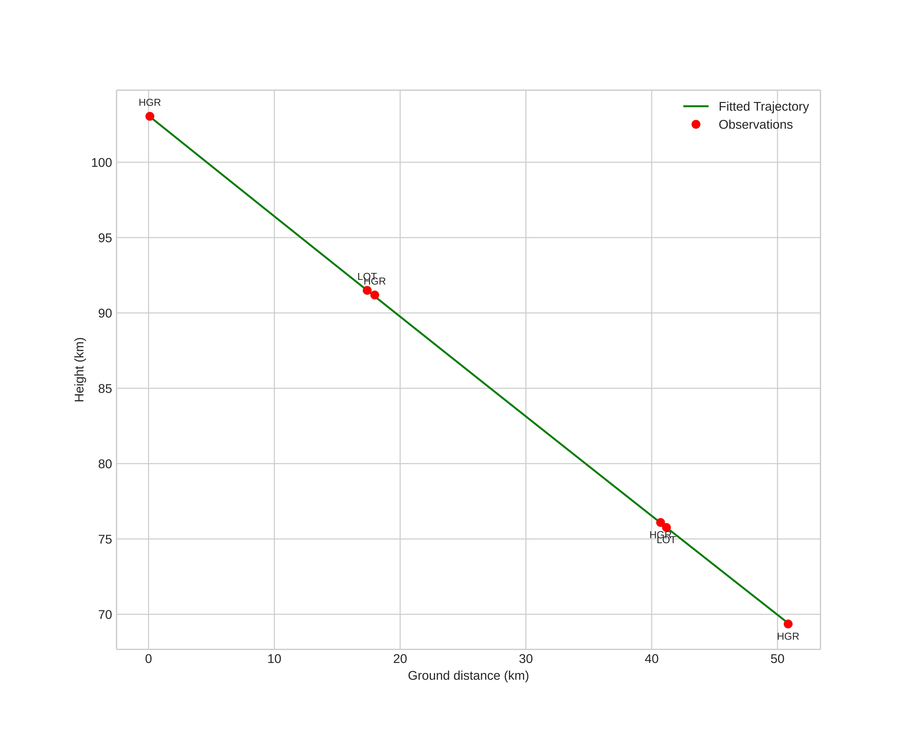
height profile
Meteor's Atmospheric Trajectory:
Start height: 103.1 km
End height: 69.4 km
Start position: 59.771N 14.462E
End position: 59.798N 15.370E
Direction: 86.2°
Inclination angle: 33.5°
Entry speed: 28.1 km/s
Radiant R.A.: 04:18 (64.5°)
Radiant Dec.: 24.2°
Meteor Shower: Northern Taurids
Meteoroid's Orbital Elements:
Perihelion distance: 0.391 AU
Eccentricity: 0.782
Inclination: 2.9°
Long. of Asc. Node: 235.7°
Argument of Perihelion: 292.3°
Mean Anomaly: 341.6°
Epoch: 2025 NOV 18 04:13:32
orbit plot

Non-interactive plot

position vs time
speed and acceleration

Hagar (HGR) cam3


gnomonic
Videos
• Gnomonic
• Gnomonic with coordinates
• Original
• Original (HEVC)
• Original with coordinates
Images
• Gnomonic
• Gnomonic with coordinates
• Original
• Original with coordinates
Text Files
• Detection
• Observation
• Coordinates
• Log
Brightness

Hagar (HGR) cam4


gnomonic
Videos
• Gnomonic
• Gnomonic with coordinates
• Original
• Original (HEVC)
• Original with coordinates
Images
• Gnomonic
• Gnomonic with coordinates
• Original
• Original with coordinates
Text Files
• Detection
• Observation
• Coordinates
• Log
Brightness

Loten (LOT) cam3


gnomonic
Videos
• Gnomonic
• Gnomonic with coordinates
• Original
• Original (HEVC)
• Original with coordinates
Images
• Gnomonic
• Gnomonic with coordinates
• Original
• Original with coordinates
Text Files
• Detection
• Observation
• Coordinates
• Log
Brightness