🇳🇴 🇬🇧 🇩🇪 🇨🇿 🇫🇮

Meteor over Lindesberg 2025-11-18 04:13:32 UTC

KML-fil

Kartet viser peilingene for meteoren. De lysere linjene viser retningene fra observasjonsstedene for meteorens tilsynekomst, og de mørkere linjene viser hvor den sist kunne sees. Den blå pila viser meteorens synlige ferd.

static map
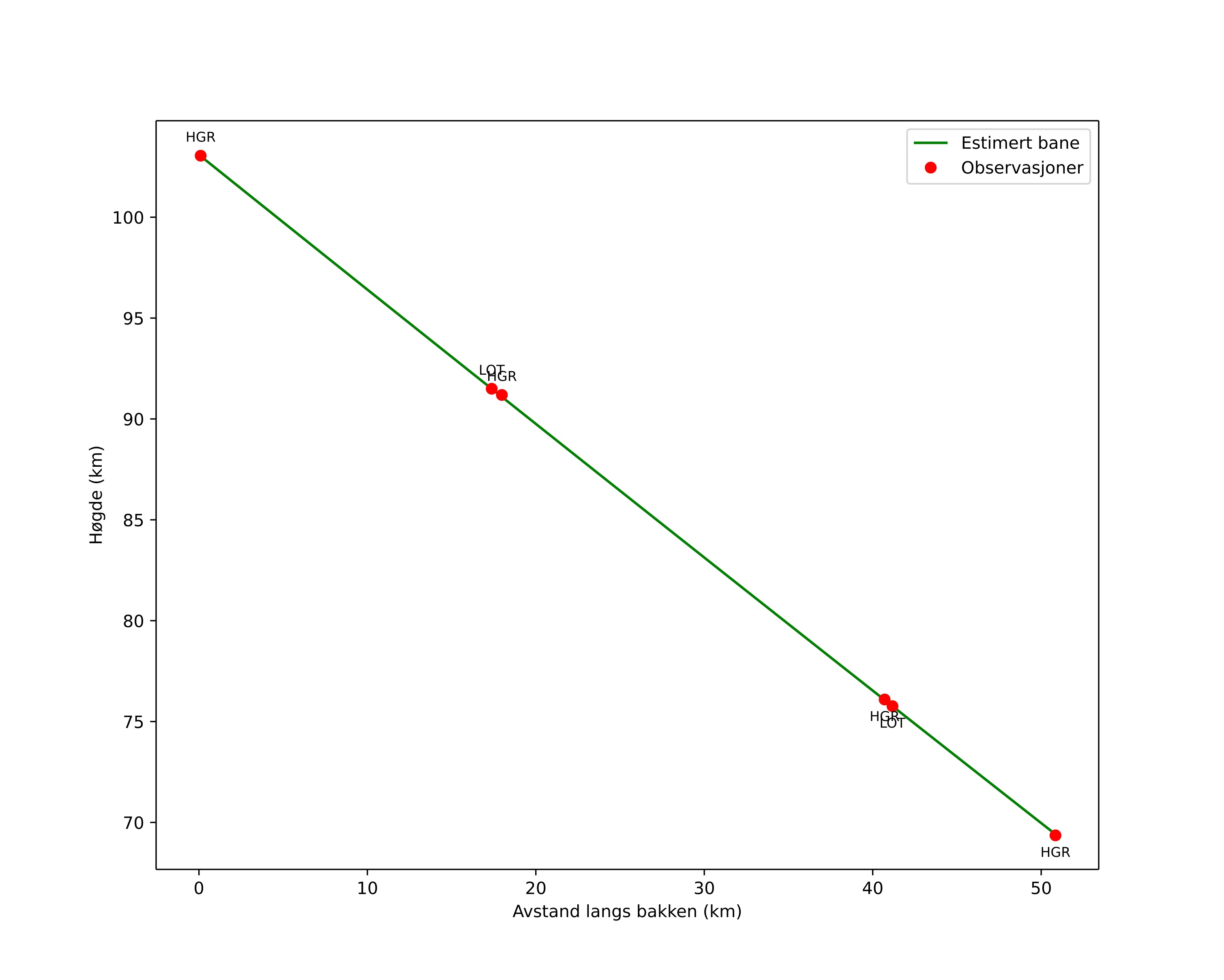
height profile
Meteorens atmosfæriske bane:
Starthøgde: 103,1 km
Slutthøgde: 69,4 km
Startposisjon: 59,771N 14,462E
Sluttposisjon: 59,798N 15,370E
Retning: 86,2°
Fallvinkel: 33,5°
Inngangshastighet: 28,1 km/s
Radiantens rektascensjon: 04:18 (64,5°)
Radiantens deklinasjon: 24,2°
Meteorsverm: Nordlige tauridene
Meteoroidens baneelement:
Perihelavstand: 0,391 AU
Eksentrisitet: 0,782
Inklinasjon: 2,9°
Knutelengde: 235,7°
Perihelargument: 292,3°
Midlere anomali: 341,6°
Epoke: 2025 NOV 18 04:13:32
orbit plot

Ikke-interaktivt plott

position vs time
speed and acceleration

Hagar (HGR) cam3


gnomonic
Videoer
• Gnomonisk
• Gnomonisk med koordinater
• Original
• Original (HEVC)
• Original med koordinater
Bilder
• Gnomonisk
• Gnomonisk med koordinater
• Original
• Original med koordinater
Tekstfiler
• Deteksjon
• Observasjon
• Koordinater
• Logg
Lysstyrke

Hagar (HGR) cam4


gnomonic
Videoer
• Gnomonisk
• Gnomonisk med koordinater
• Original
• Original (HEVC)
• Original med koordinater
Bilder
• Gnomonisk
• Gnomonisk med koordinater
• Original
• Original med koordinater
Tekstfiler
• Deteksjon
• Observasjon
• Koordinater
• Logg
Lysstyrke

Loten (LOT) cam3


gnomonic
Videoer
• Gnomonisk
• Gnomonisk med koordinater
• Original
• Original (HEVC)
• Original med koordinater
Bilder
• Gnomonisk
• Gnomonisk med koordinater
• Original
• Original med koordinater
Tekstfiler
• Deteksjon
• Observasjon
• Koordinater
• Logg
Lysstyrke