🇳🇴 🇬🇧 🇩🇪 🇨🇿 🇫🇮

Meteor over Hirtshals 2025-11-18 20:42:19 UTC

KML-fil  |  Interaktivt kart

Kartet viser peilingene for meteoren. De lysere linjene viser retningene fra observasjonsstedene for meteorens tilsynekomst, og de mørkere linjene viser hvor den sist kunne sees. Den blå pila viser meteorens synlige ferd.

static map
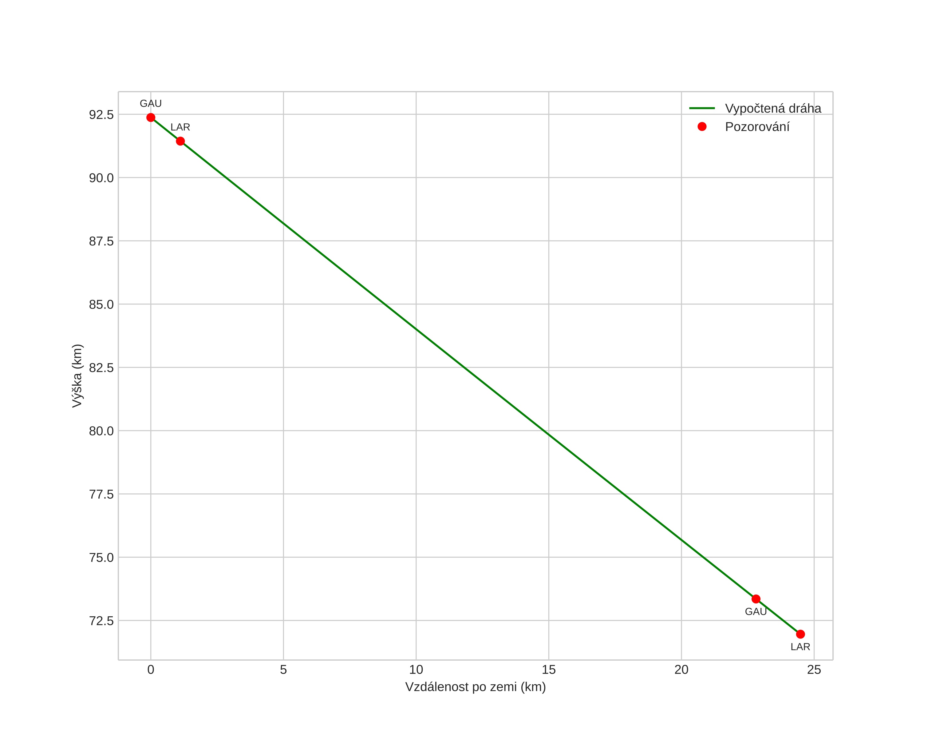
height profile
Meteorens atmosfæriske bane:
Starthøgde: 92,6 km
Slutthøgde: 72,1 km
Startposisjon: 57,817N 10,463E
Sluttposisjon: 57,940N 10,118E
Retning: 303,9°
Fallvinkel: 39,9°
Inngangshastighet: 26,8 km/s
Radiantens rektascensjon: 04:06 (61,6°)
Radiantens deklinasjon: 16,1°
Meteorsverm: Sørlige tauridene
Meteoroidens baneelement:
Perihelavstand: 0,474 AU
Eksentrisitet: 0,764
Inklinasjon: 4,1°
Knutelengde: 56,4°
Perihelargument: 101,5°
Midlere anomali: 344,4°
Epoke: 2025 NOV 18 20:42:19
orbit plot

Ikke-interaktivt plott | Interaktivt plott

position vs time
speed and acceleration

Gaustatoppen (GAU) cam3


gnomonic
Videoer
• Gnomonisk
• Gnomonisk med koordinater
• Original
• Original med koordinater
Bilder
• Gnomonisk
• Gnomonisk med koordinater
• Original
• Original med koordinater
Tekstfiler
• Deteksjon
• Observasjon
• Koordinater
• Logg
Lysstyrke

Larvik (LAR) cam4


gnomonic
Videoer
• Gnomonisk
• Gnomonisk med koordinater
• Original
• Original med koordinater
Bilder
• Gnomonisk
• Gnomonisk med koordinater
• Original
• Original med koordinater
Tekstfiler
• Deteksjon
• Observasjon
• Koordinater
• Logg
Lysstyrke