🇳🇴 🇬🇧 🇩🇪 🇨🇿 🇫🇮

Meteor over Hirtshals 2025-11-18 20:42:19 UTC

KML-fil

Kartet viser peilingene for meteoren. De lysere linjene viser retningene fra observasjonsstedene for meteorens tilsynekomst, og de mørkere linjene viser hvor den sist kunne sees. Den blå pila viser meteorens synlige ferd.

static map
height profile
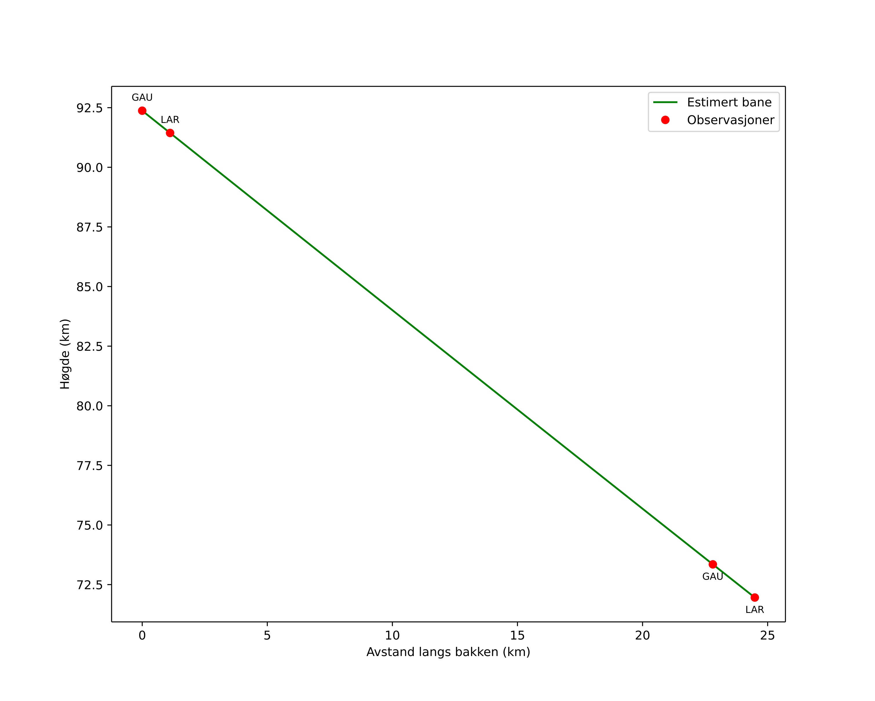
Meteorens atmosfæriske bane:
Starthøgde: 92,4 km
Slutthøgde: 72,0 km
Startposisjon: 57,821N 10,459E
Sluttposisjon: 57,944N 10,116E
Retning: 304,1°
Fallvinkel: 39,8°
Inngangshastighet: 26,9 km/s
Radiantens rektascensjon: 04:05 (61,5°)
Radiantens deklinasjon: 15,9°
Meteorsverm: Sørlige tauridene
Meteoroidens baneelement:
Perihelavstand: 0,476 AU
Eksentrisitet: 0,766
Inklinasjon: 4,3°
Knutelengde: 56,4°
Perihelargument: 101,2°
Midlere anomali: 344,7°
Epoke: 2025 NOV 18 20:42:19
orbit plot

Ikke-interaktivt plott

position vs time
speed and acceleration

Gaustatoppen (GAU) cam3


gnomonic
Videoer
• Gnomonisk
• Gnomonisk med koordinater
• Original
• Original (HEVC)
• Original med koordinater
Bilder
• Gnomonisk
• Gnomonisk med koordinater
• Original
• Original med koordinater
Tekstfiler
• Deteksjon
• Observasjon
• Koordinater
• Logg
Lysstyrke

Larvik (LAR) cam4


gnomonic
Videoer
• Gnomonisk
• Gnomonisk med koordinater
• Original
• Original (HEVC)
• Original med koordinater
Bilder
• Gnomonisk
• Gnomonisk med koordinater
• Original
• Original med koordinater
Tekstfiler
• Deteksjon
• Observasjon
• Koordinater
• Logg
Lysstyrke