🇳🇴 🇬🇧 🇩🇪 🇨🇿 🇫🇮

Meteor Hirtshalsin yllä 2025-11-18 20:42:19 UTC

KML-tiedosto  |  Interaktiivinen kartta

Kartta näyttää meteorin suuntahavainnot. Vaaleammat viivat näyttävät suunnat havaintoasemilta meteorin ilmestyessä, ja tummemmat viivat näyttävät, missä se viimeksi nähtiin. Sininen nuoli näyttää meteorin näkyvän lennon.

static map
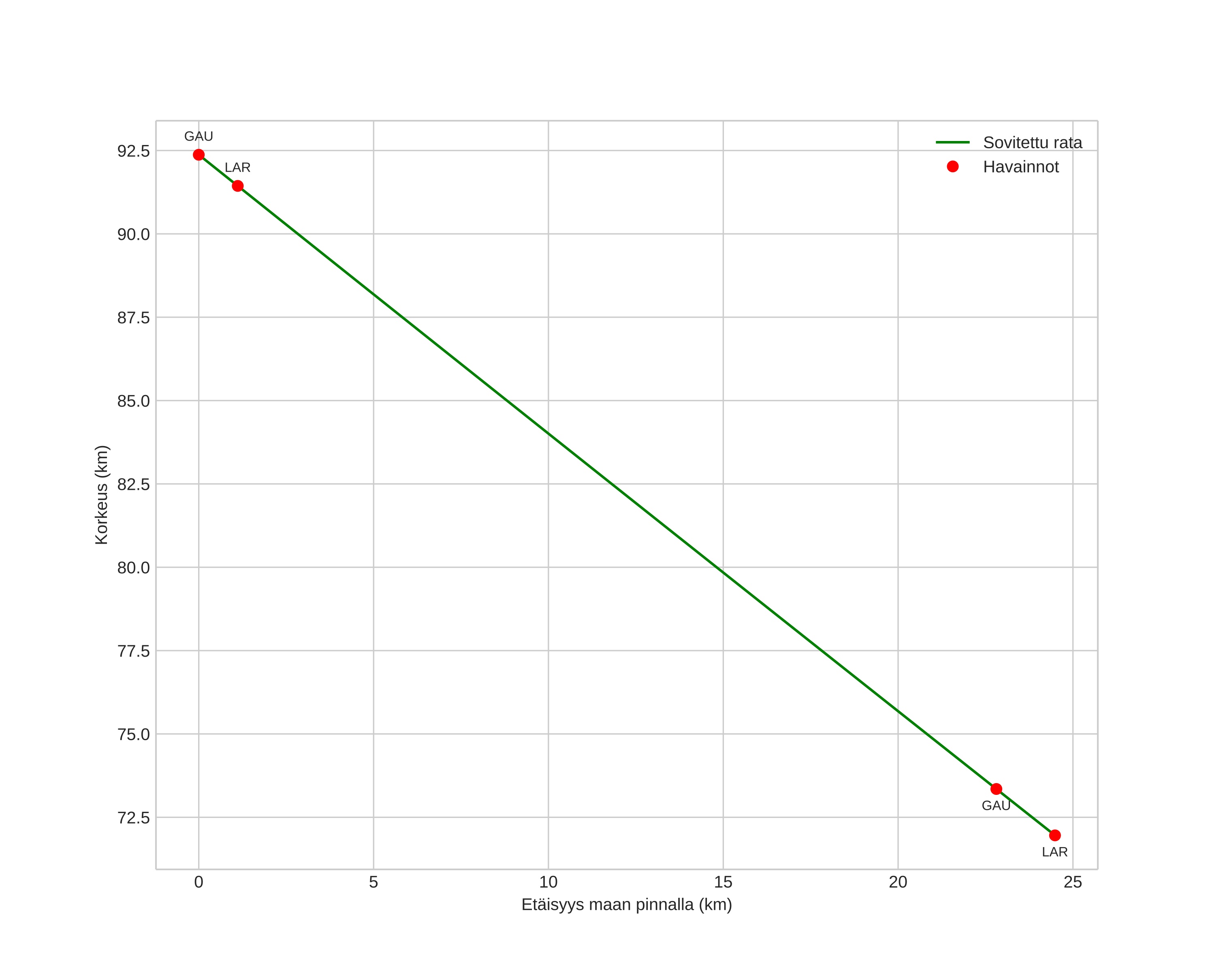
height profile
Meteorin ilmakehärata:
Alkukorkeus: 92,6 km
Loppukorkeus: 72,1 km
Alkupiste: 57,817N 10,463E
Loppupiste: 57,940N 10,118E
Suunta: 303,9°
Kallistuskulma: 39,9°
Tulonopeus: 26,8 km/s
Radiantin R,A,: 04:06 (61,6°)
Radiantin Dekl,: 16,1°
Meteoriparvi: Eteläiset tauridit
Meteoroidin rataelementit:
Perihelietäisyys: 0,474 AU
Eksentrisyys: 0,764
Inklinaatio: 4,1°
Nousevan solmun pituus: 56,4°
Perihelin argumentti: 101,5°
Keskianomalia: 344,4°
Epookki: 2025 NOV 18 20:42:19
orbit plot

Ei-interaktiivinen kuvaaja | Interaktiivinen kuvaaja

position vs time
speed and acceleration

Gaustatoppen (GAU) cam3


gnomonic
Videot:
• Gnomoninen
• Gnomoninen koordinaateilla
• Alkuperäinen
• Alkuperäinen koordinaateilla
Kuvat:
• Gnomoninen
• Gnomoninen koordinaateilla
• Alkuperäinen
• Alkuperäinen koordinaateilla
Tekstitiedostot:
• Havaintoraportti
• Observaatio
• Koordinaatit
• Loki
Kirkkaus

Larvik (LAR) cam4


gnomonic
Videot:
• Gnomoninen
• Gnomoninen koordinaateilla
• Alkuperäinen
• Alkuperäinen koordinaateilla
Kuvat:
• Gnomoninen
• Gnomoninen koordinaateilla
• Alkuperäinen
• Alkuperäinen koordinaateilla
Tekstitiedostot:
• Havaintoraportti
• Observaatio
• Koordinaatit
• Loki
Kirkkaus