🇳🇴 🇬🇧 🇩🇪 🇨🇿 🇫🇮

Meteor, poloha: Älvdalen 2025-11-18 23:09:17 UTC

Soubor KML  |  Interaktivní mapa

Mapa zobrazuje dráhy meteoru. Světlejší čáry ukazují směry od pozorovacích stanic při objevení se meteoru a tmavší čáry, kde byl naposledy viděn. Modrá šipka značí viditelnou dráhu meteoru.

static map
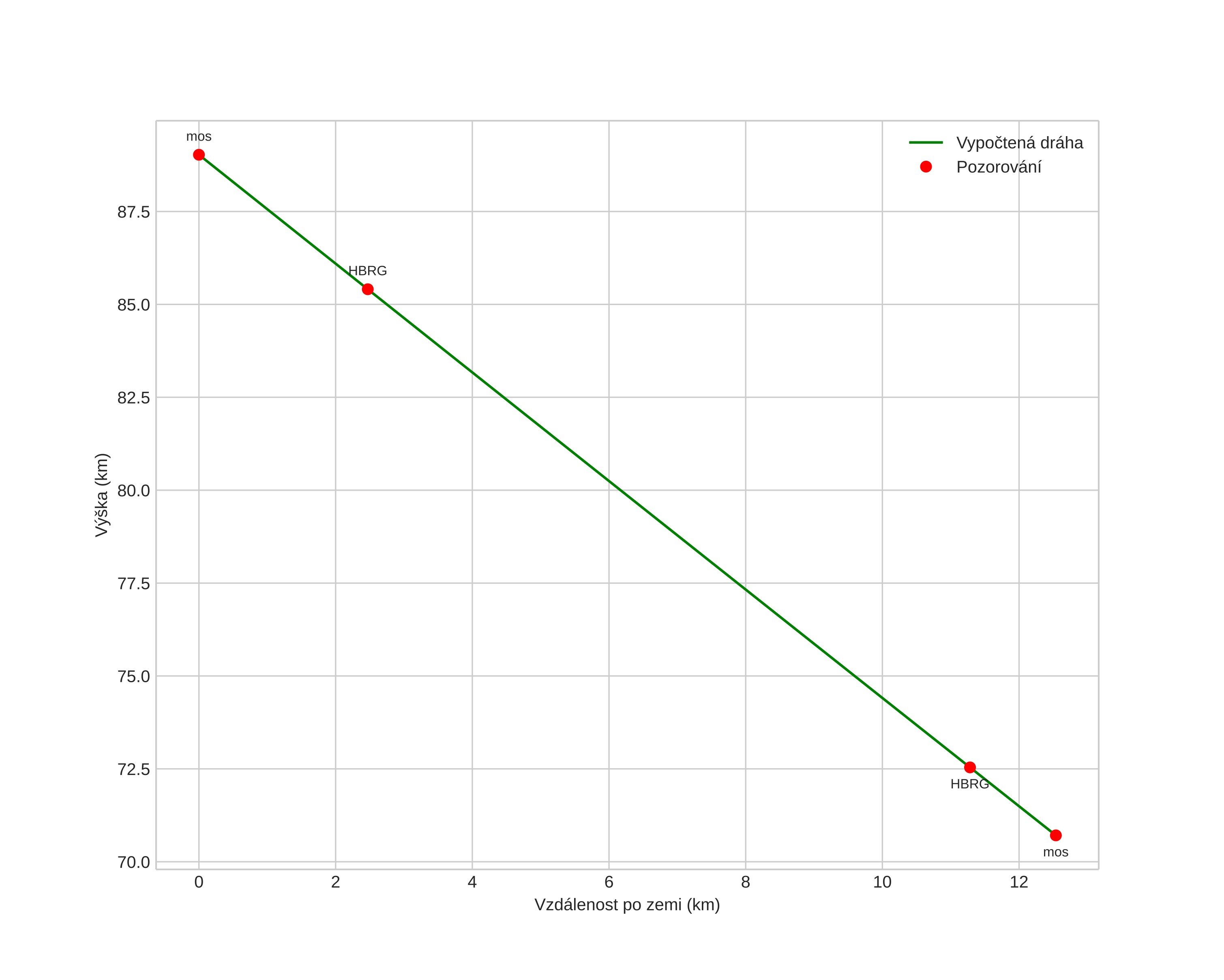
height profile
Atmosférická dráha meteoru:
Počáteční výška: 89,6 km
Konečná výška: 70,7 km
Počáteční poloha: 60,912N 14,128E
Konečná poloha: 61,028N 14,090E
Směr: 350,9°
Sklon: 55,5°
Vstupní rychlost: 27,7 km/s
Rektascenze radiantu: 04:18 (64,6°)
Deklinace radiantu: 24,9°
Meteorický roj: Severní Tauridy
Elementy dráhy meteoroidu:
Vzdálenost v periheliu: 0,407 AU
Excentricita: 0,769
Sklon dráhy: 3,5°
Délka vzestupného uzlu: 236,5°
Argument perihelia: 290,7°
Střední anomálie: 341,0°
Epocha: 2025 NOV 18 23:09:17
orbit plot

Neinteraktivní graf | Interaktivní graf

position vs time
speed and acceleration