🇳🇴 🇬🇧 🇩🇪 🇨🇿 🇫🇮

Meteor über Älvdalen 2025-11-18 23:09:17 UTC

KML-Datei  |  Interaktive Karte

Die Karte zeigt die Peilungen für den Meteor. Die helleren Linien zeigen die Richtungen von den Beobachtungsorten beim Erscheinen des Meteors, und die dunkleren Linien, wo er zuletzt gesehen wurde. Der blaue Pfeil zeigt die sichtbare Bahn des Meteors.

static map
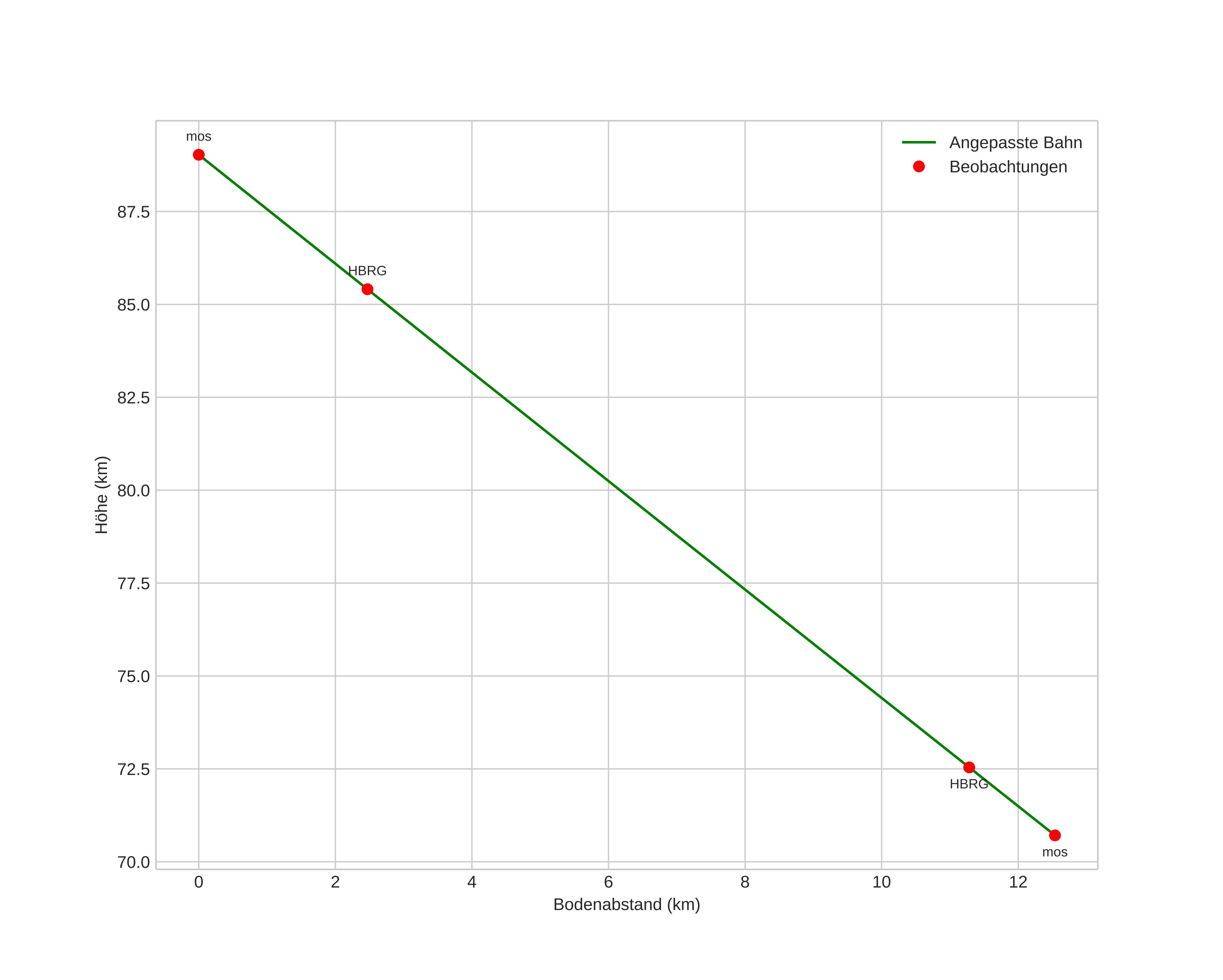
height profile
Atmosphärische Bahn des Meteors:
Anfangshöhe: 89,6 km
Endhöhe: 70,7 km
Startposition: 60,912N 14,128E
Endposition: 61,028N 14,090E
Richtung: 350,9°
Neigungswinkel: 55,5°
Eintrittsgeschwindigkeit: 27,7 km/s
Rektaszension des Radianten: 04:18 (64,6°)
Deklination des Radianten: 24,9°
Meteorstrom: Nördliche Tauriden
Bahnelemente des Meteoroiden:
Periheldistanz: 0,407 AU
Exzentrizität: 0,769
Inklination: 3,5°
Länge des aufsteigenden Knotens: 236,5°
Argument des Perihels: 290,7°
Mittlere Anomalie: 341,0°
Epoche: 2025 NOV 18 23:09:17
orbit plot

Nicht-interaktives Diagramm | Interaktives Diagramm

position vs time
speed and acceleration

Moss (mos) cam2


gnomonic
Videos
• Gnomonisch
• Gnomonisch mit Koordinaten
• Original
• Original mit Koordinaten
Bilder
• Gnomonisch
• Gnomonisch mit Koordinaten
• Original
• Original mit Koordinaten
Textdateien
• Erkennung
• Beobachtung
• Koordinaten
• Protokoll
Helligkeit