🇳🇴 🇬🇧 🇩🇪 🇨🇿 🇫🇮

Meteor Laganin yllä 2025-11-24 23:44:52 UTC

KML-tiedosto  |  Interaktiivinen kartta

Kartta näyttää meteorin suuntahavainnot. Vaaleammat viivat näyttävät suunnat havaintoasemilta meteorin ilmestyessä, ja tummemmat viivat näyttävät, missä se viimeksi nähtiin. Sininen nuoli näyttää meteorin näkyvän lennon.

static map
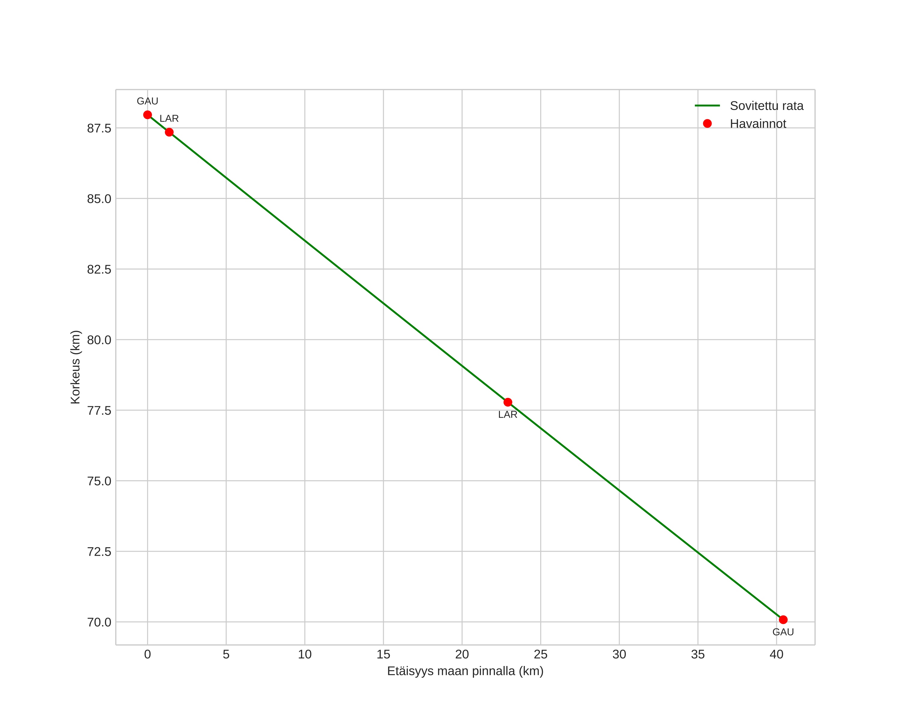
height profile
Meteorin ilmakehärata:
Alkukorkeus: 88,0 km
Loppukorkeus: 70,1 km
Alkupiste: 57,103N 13,194E
Loppupiste: 56,974N 13,819E
Suunta: 110,5°
Kallistuskulma: 23,9°
Tulonopeus: 30,5 km/s
Radiantin R,A,: 22:33 (338,3°)
Radiantin Dekl,: 28,4°
Meteoriparvi: Sporadinen
Meteoroidin rataelementit:
Perihelietäisyys: 0,971 AU
Eksentrisyys: 2,407
Inklinaatio: 17,2°
Nousevan solmun pituus: 242,6°
Perihelin argumentti: 192,2°
Keskianomalia: -11,1°
Epookki: 2025 NOV 24 23:44:52
orbit plot

Ei-interaktiivinen kuvaaja | Interaktiivinen kuvaaja

position vs time
speed and acceleration

Gaustatoppen (GAU) cam3


gnomonic
Videot:
• Gnomoninen
• Gnomoninen koordinaateilla
• Alkuperäinen
• Alkuperäinen koordinaateilla
Kuvat:
• Gnomoninen
• Gnomoninen koordinaateilla
• Alkuperäinen
• Alkuperäinen koordinaateilla
Tekstitiedostot:
• Havaintoraportti
• Observaatio
• Koordinaatit
• Loki
Kirkkaus

Larvik (LAR) cam3


gnomonic
Videot:
• Gnomoninen
• Gnomoninen koordinaateilla
• Alkuperäinen
• Alkuperäinen koordinaateilla
Kuvat:
• Gnomoninen
• Gnomoninen koordinaateilla
• Alkuperäinen
• Alkuperäinen koordinaateilla
Tekstitiedostot:
• Havaintoraportti
• Observaatio
• Koordinaatit
• Loki
Kirkkaus