🇳🇴 🇬🇧 🇩🇪 🇨🇿 🇫🇮

Meteor over Lagan 2025-11-24 23:44:52 UTC

KML-fil  |  Interaktivt kart

Kartet viser peilingene for meteoren. De lysere linjene viser retningene fra observasjonsstedene for meteorens tilsynekomst, og de mørkere linjene viser hvor den sist kunne sees. Den blå pila viser meteorens synlige ferd.

static map
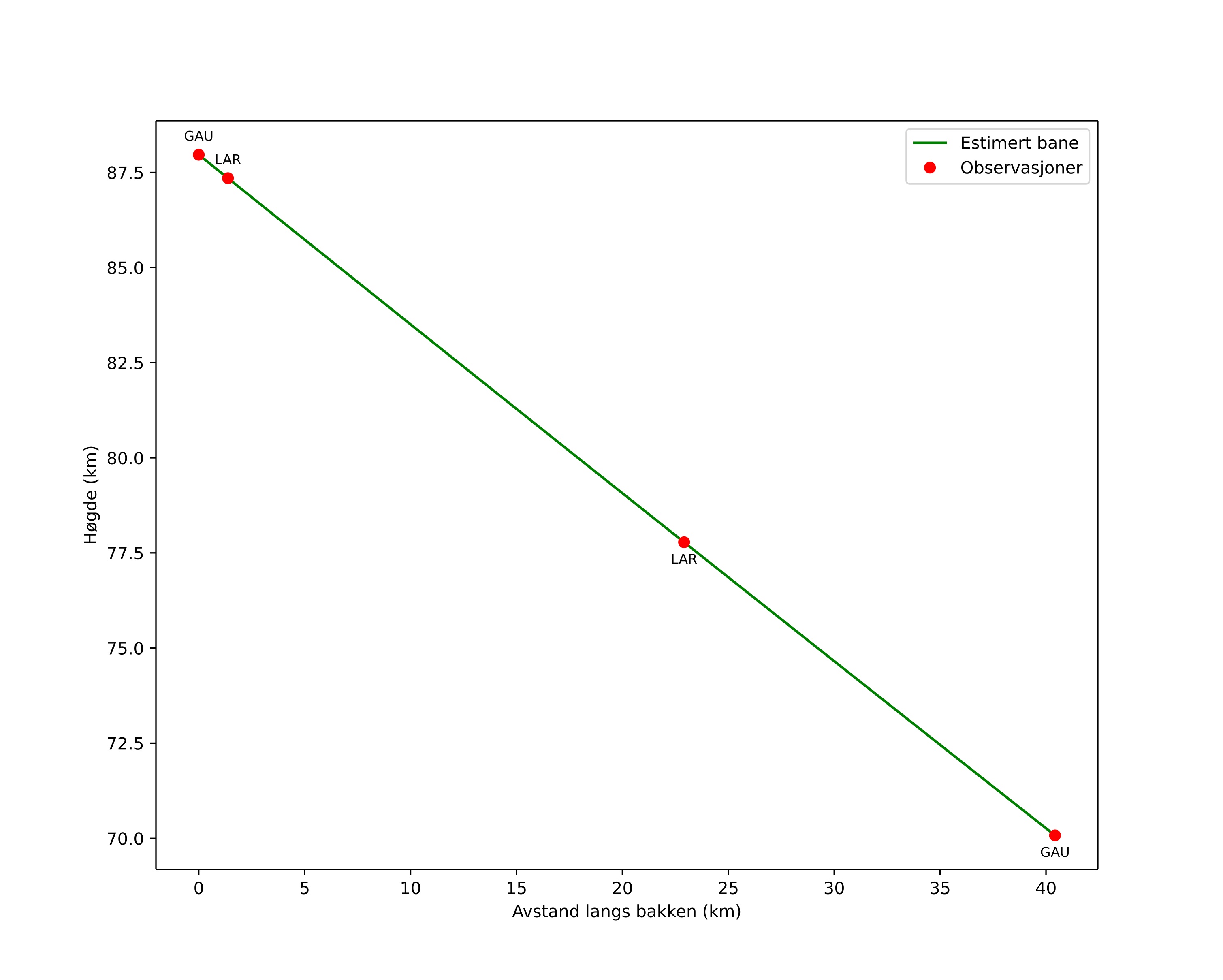
height profile
Meteorens atmosfæriske bane:
Starthøgde: 88,0 km
Slutthøgde: 70,1 km
Startposisjon: 57,103N 13,194E
Sluttposisjon: 56,974N 13,819E
Retning: 110,5°
Fallvinkel: 23,9°
Inngangshastighet: 30,5 km/s
Radiantens rektascensjon: 22:33 (338,3°)
Radiantens deklinasjon: 28,4°
Meteorsverm: sporadisk
Meteoroidens baneelement:
Perihelavstand: 0,971 AU
Eksentrisitet: 2,407
Inklinasjon: 17,2°
Knutelengde: 242,6°
Perihelargument: 192,2°
Midlere anomali: -11,1°
Epoke: 2025 NOV 24 23:44:52
orbit plot

Ikke-interaktivt plott | Interaktivt plott

position vs time
speed and acceleration

Gaustatoppen (GAU) cam3


gnomonic
Videoer
• Gnomonisk
• Gnomonisk med koordinater
• Original
• Original med koordinater
Bilder
• Gnomonisk
• Gnomonisk med koordinater
• Original
• Original med koordinater
Tekstfiler
• Deteksjon
• Observasjon
• Koordinater
• Logg
Lysstyrke

Larvik (LAR) cam3


gnomonic
Videoer
• Gnomonisk
• Gnomonisk med koordinater
• Original
• Original med koordinater
Bilder
• Gnomonisk
• Gnomonisk med koordinater
• Original
• Original med koordinater
Tekstfiler
• Deteksjon
• Observasjon
• Koordinater
• Logg
Lysstyrke