🇳🇴 🇬🇧 🇩🇪 🇨🇿 🇫🇮

Meteor, poloha: Engerdal 2025-11-25 01:27:04 UTC

Soubor KML  |  InteraktivnĂ­ mapa

Mapa zobrazuje dráhy meteoru. Světlejší čáry ukazují směry od pozorovacích stanic při objevení se meteoru a tmavší čáry, kde byl naposledy viděn. Modrá šipka značí viditelnou dráhu meteoru.

static map
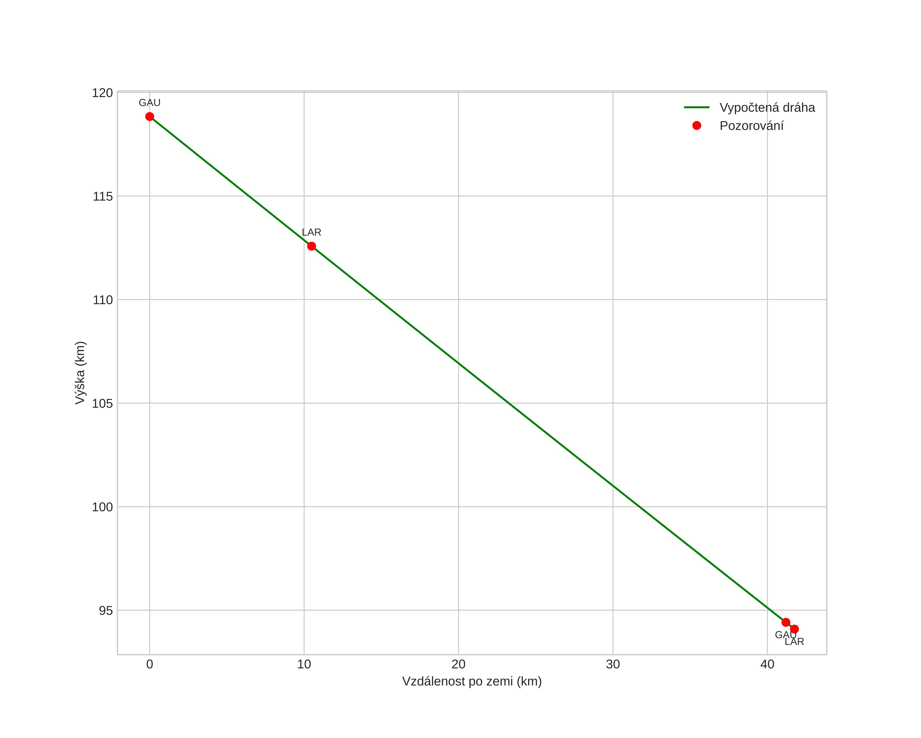
height profile
Atmosférická dráha meteoru:
Počáteční výška: 118,8 km
Konečná výška: 94,1 km
Počáteční poloha: 61,668N 12,714E
Konečná poloha: 61,791N 11,965E
Směr: 289,5°
Sklon: 30,6°
VstupnĂ­ rychlost: 71,6 km/s
Rektascenze radiantu: 10:27 (157,0°)
Deklinace radiantu: 18,0°
MeteorickĂ˝ roj: Leonidy
Elementy dráhy meteoroidu:
Vzdálenost v periheliu: 0,987 AU
Excentricita: 0,858
Sklon dráhy: 166,5°
Délka vzestupného uzlu: 242,7°
Argument perihelia: 183,2°
Střední anomálie: 359,9°
Epocha: 2025 NOV 25 01:27:04
orbit plot

NeinteraktivnĂ­ graf | InteraktivnĂ­ graf

position vs time
speed and acceleration

Gaustatoppen (GAU) cam2


gnomonic
Videa
• Gnomonická
• Gnomonická se souřadnicemi
• Původní
• Původní se souřadnicemi
Obrázky
• Gnomonická
• Gnomonická se souřadnicemi
• Původní
• Původní se souřadnicemi
Textové soubory
• Detekce
• Pozorování
• Souřadnice
• Protokol
Jasnost

Larvik (LAR) cam2


gnomonic
Videa
• Gnomonická
• Gnomonická se souřadnicemi
• Původní
• Původní se souřadnicemi
Obrázky
• Gnomonická
• Gnomonická se souřadnicemi
• Původní
• Původní se souřadnicemi
Textové soubory
• Detekce
• Pozorování
• Souřadnice
• Protokol
Jasnost