🇳🇴 🇬🇧 🇩🇪 🇨🇿 🇫🇮

Meteor Engerdalin yllä 2025-11-25 01:27:04 UTC

KML-tiedosto  |  Interaktiivinen kartta

Kartta näyttää meteorin suuntahavainnot. Vaaleammat viivat näyttävät suunnat havaintoasemilta meteorin ilmestyessä, ja tummemmat viivat näyttävät, missä se viimeksi nähtiin. Sininen nuoli näyttää meteorin näkyvän lennon.

static map
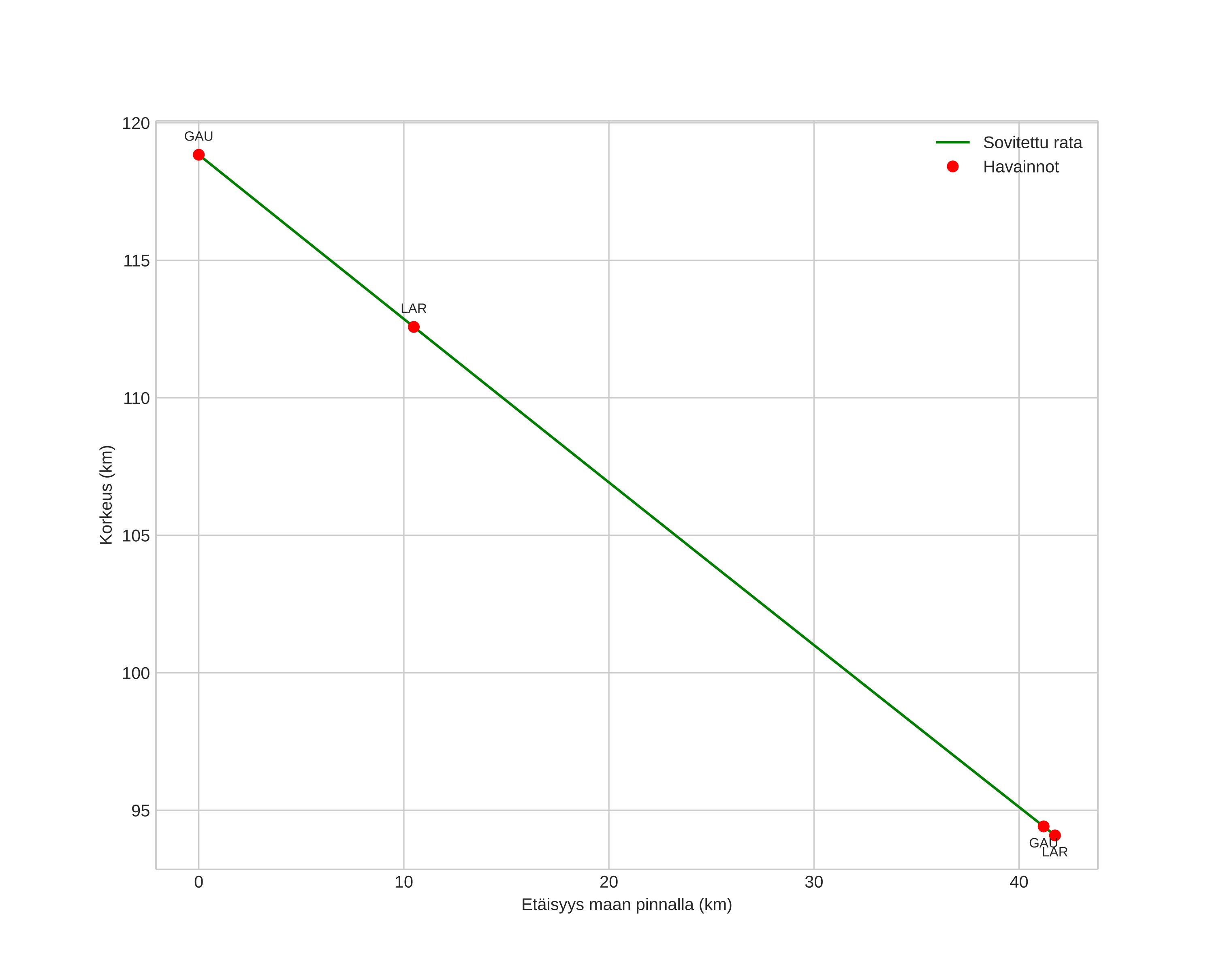
height profile
Meteorin ilmakehärata:
Alkukorkeus: 118,8 km
Loppukorkeus: 94,1 km
Alkupiste: 61,668N 12,714E
Loppupiste: 61,791N 11,965E
Suunta: 289,5°
Kallistuskulma: 30,6°
Tulonopeus: 71,6 km/s
Radiantin R,A,: 10:27 (157,0°)
Radiantin Dekl,: 18,0°
Meteoriparvi: Leonidit
Meteoroidin rataelementit:
Perihelietäisyys: 0,987 AU
Eksentrisyys: 0,858
Inklinaatio: 166,5°
Nousevan solmun pituus: 242,7°
Perihelin argumentti: 183,2°
Keskianomalia: 359,9°
Epookki: 2025 NOV 25 01:27:04
orbit plot

Ei-interaktiivinen kuvaaja | Interaktiivinen kuvaaja

position vs time
speed and acceleration

Gaustatoppen (GAU) cam2


gnomonic
Videot:
• Gnomoninen
• Gnomoninen koordinaateilla
• Alkuperäinen
• Alkuperäinen koordinaateilla
Kuvat:
• Gnomoninen
• Gnomoninen koordinaateilla
• Alkuperäinen
• Alkuperäinen koordinaateilla
Tekstitiedostot:
• Havaintoraportti
• Observaatio
• Koordinaatit
• Loki
Kirkkaus

Larvik (LAR) cam2


gnomonic
Videot:
• Gnomoninen
• Gnomoninen koordinaateilla
• Alkuperäinen
• Alkuperäinen koordinaateilla
Kuvat:
• Gnomoninen
• Gnomoninen koordinaateilla
• Alkuperäinen
• Alkuperäinen koordinaateilla
Tekstitiedostot:
• Havaintoraportti
• Observaatio
• Koordinaatit
• Loki
Kirkkaus