🇳🇴 🇬🇧 🇩🇪 🇨🇿 🇫🇮

Meteor über Hammerfest 2025-11-25 03:50:06 UTC

KML-Datei  |  Interaktive Karte

Die Karte zeigt die Peilungen für den Meteor. Die helleren Linien zeigen die Richtungen von den Beobachtungsorten beim Erscheinen des Meteors, und die dunkleren Linien, wo er zuletzt gesehen wurde. Der blaue Pfeil zeigt die sichtbare Bahn des Meteors.

static map
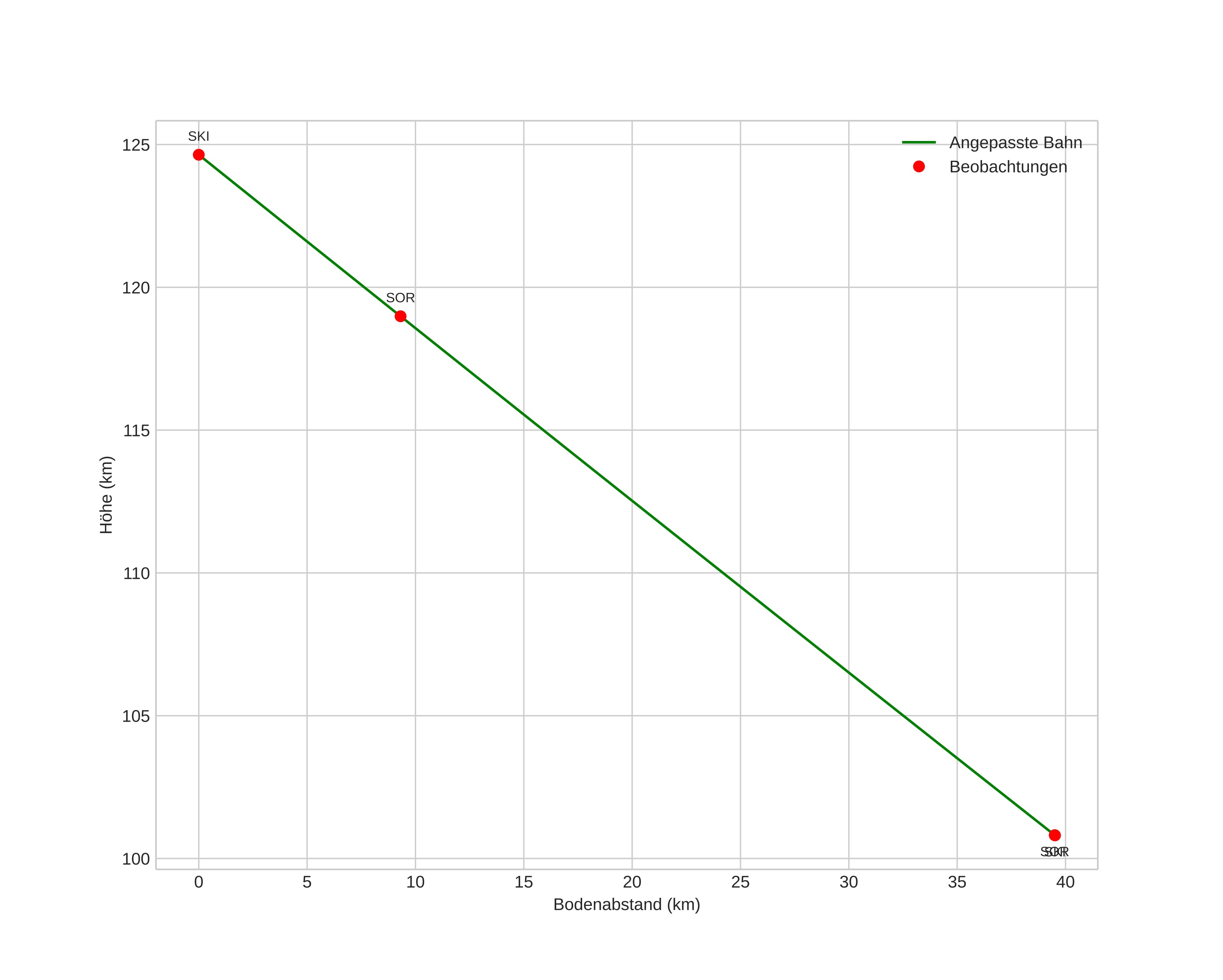
height profile
Atmosphärische Bahn des Meteors:
Anfangshöhe: 124,6 km
Endhöhe: 100,8 km
Startposition: 71,873N 23,278E
Endposition: 72,223N 23,069E
Richtung: 349,7°
Neigungswinkel: 31,1°
Eintrittsgeschwindigkeit: 85,1 km/s
Rektaszension des Radianten: 10:14 (153,7°)
Deklination des Radianten: 13,0°
Meteorstrom: Leoniden
Bahnelemente des Meteoroiden:
Periheldistanz: 0,985 AU
Exzentrizität: 2,277
Inklination: 176,9°
Länge des aufsteigenden Knotens: 242,8°
Argument des Perihels: 184,7°
Mittlere Anomalie: -3,7°
Epoche: 2025 NOV 25 03:50:06
orbit plot

Nicht-interaktives Diagramm | Interaktives Diagramm

position vs time
speed and acceleration

Skibotn (SKI) cam1


gnomonic
Videos
• Gnomonisch
• Gnomonisch mit Koordinaten
• Original
• Original mit Koordinaten
Bilder
• Gnomonisch
• Gnomonisch mit Koordinaten
• Original
• Original mit Koordinaten
Textdateien
• Erkennung
• Beobachtung
• Koordinaten
• Protokoll
Helligkeit

Sorreisa (SOR) cam1


gnomonic
Videos
• Gnomonisch
• Gnomonisch mit Koordinaten
• Original
• Original mit Koordinaten
Bilder
• Gnomonisch
• Gnomonisch mit Koordinaten
• Original
• Original mit Koordinaten
Textdateien
• Erkennung
• Beobachtung
• Koordinaten
• Protokoll
Helligkeit