🇳🇴 🇬🇧 🇩🇪 🇨🇿 🇫🇮

Meteor Hammerfestin yllä 2025-11-25 03:50:06 UTC

KML-tiedosto  |  Interaktiivinen kartta

Kartta näyttää meteorin suuntahavainnot. Vaaleammat viivat näyttävät suunnat havaintoasemilta meteorin ilmestyessä, ja tummemmat viivat näyttävät, missä se viimeksi nähtiin. Sininen nuoli näyttää meteorin näkyvän lennon.

static map
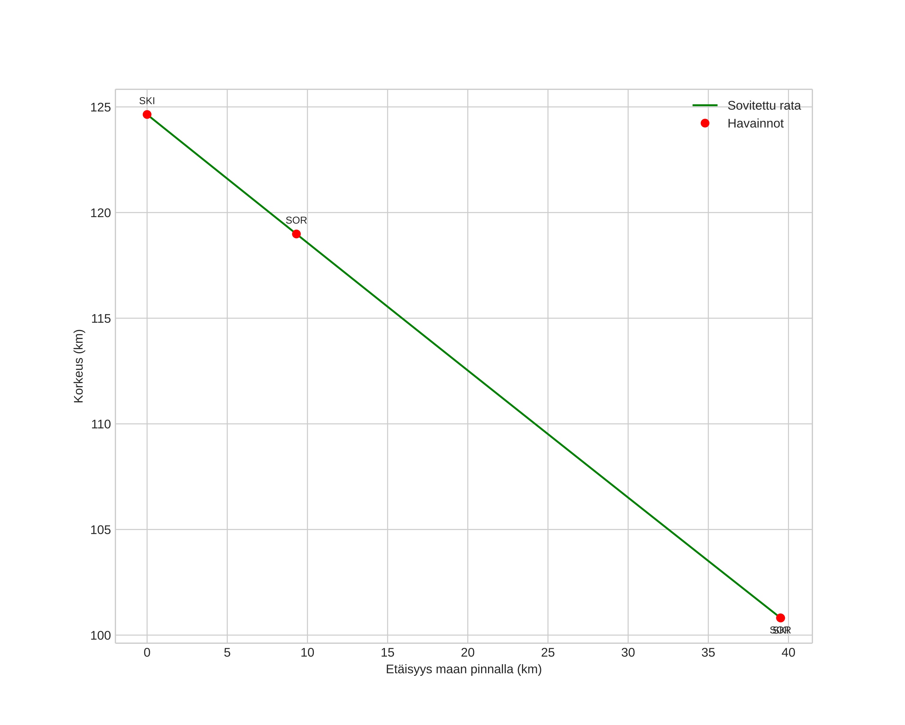
height profile
Meteorin ilmakehärata:
Alkukorkeus: 124,6 km
Loppukorkeus: 100,8 km
Alkupiste: 71,873N 23,278E
Loppupiste: 72,223N 23,069E
Suunta: 349,7°
Kallistuskulma: 31,1°
Tulonopeus: 85,1 km/s
Radiantin R,A,: 10:14 (153,7°)
Radiantin Dekl,: 13,0°
Meteoriparvi: Leonidit
Meteoroidin rataelementit:
Perihelietäisyys: 0,985 AU
Eksentrisyys: 2,277
Inklinaatio: 176,9°
Nousevan solmun pituus: 242,8°
Perihelin argumentti: 184,7°
Keskianomalia: -3,7°
Epookki: 2025 NOV 25 03:50:06
orbit plot

Ei-interaktiivinen kuvaaja | Interaktiivinen kuvaaja

position vs time
speed and acceleration

Skibotn (SKI) cam1


gnomonic
Videot:
• Gnomoninen
• Gnomoninen koordinaateilla
• Alkuperäinen
• Alkuperäinen koordinaateilla
Kuvat:
• Gnomoninen
• Gnomoninen koordinaateilla
• Alkuperäinen
• Alkuperäinen koordinaateilla
Tekstitiedostot:
• Havaintoraportti
• Observaatio
• Koordinaatit
• Loki
Kirkkaus

Sorreisa (SOR) cam1


gnomonic
Videot:
• Gnomoninen
• Gnomoninen koordinaateilla
• Alkuperäinen
• Alkuperäinen koordinaateilla
Kuvat:
• Gnomoninen
• Gnomoninen koordinaateilla
• Alkuperäinen
• Alkuperäinen koordinaateilla
Tekstitiedostot:
• Havaintoraportti
• Observaatio
• Koordinaatit
• Loki
Kirkkaus