🇳🇴 🇬🇧 🇩🇪 🇨🇿 🇫🇮

Meteor over Ã…motfors 2025-12-11 20:50:21 UTC

KML file  |  Interactive map

The map shows the bearings for the meteor. The lighter lines show the directions from the observation sites at the meteor's appearance, and the darker lines show where it was last seen. The blue arrow indicates the visible path of the meteor.

static map
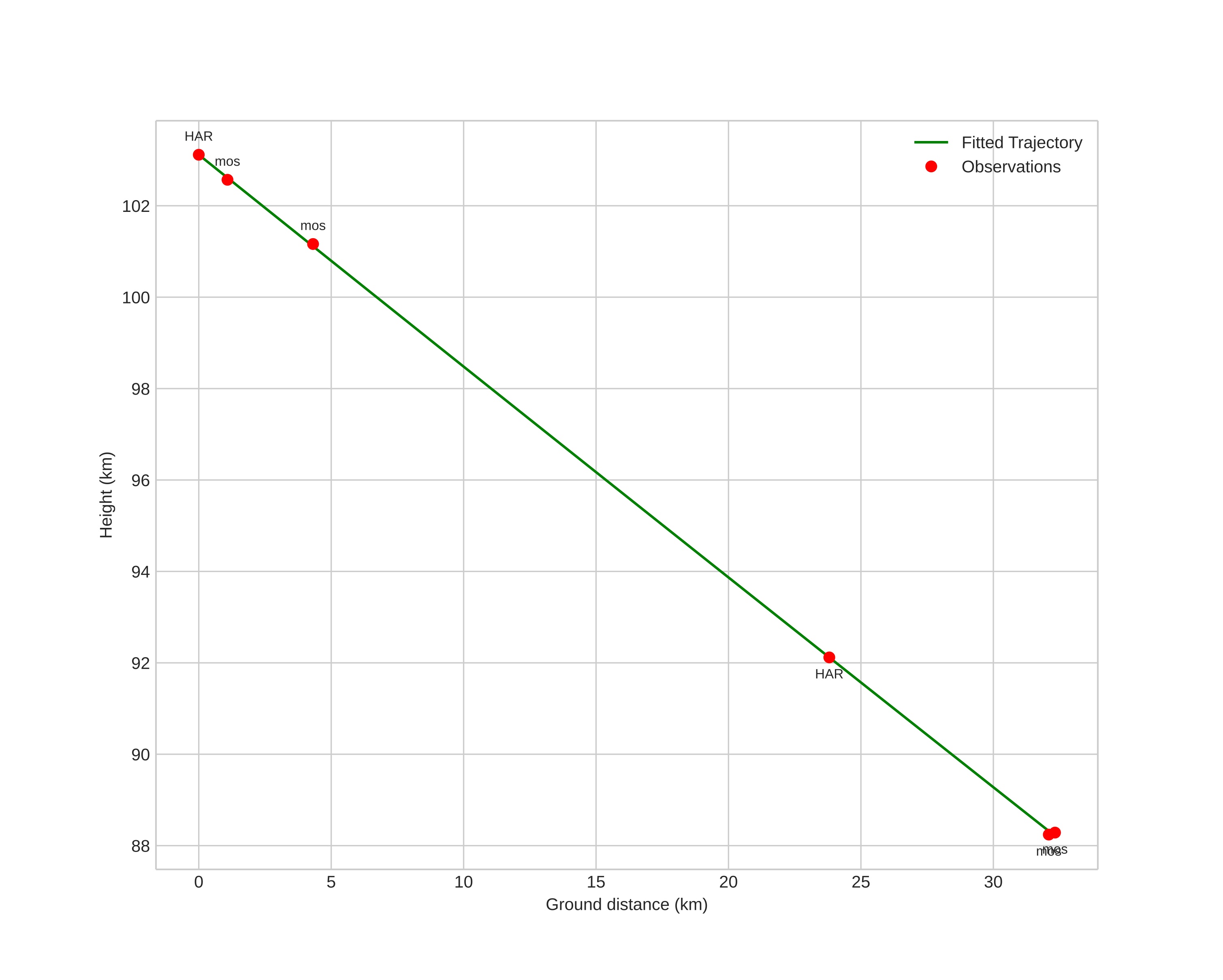
height profile
Meteor's Atmospheric Trajectory:
Start height: 103.1 km
End height: 88.2 km
Start position: 59.681N 13.008E
End position: 59.810N 12.492E
Direction: 296.6°
Inclination angle: 24.8°
Entry speed: 44.4 km/s
Radiant R.A.: 06:46 (101.6°)
Radiant Dec.: 8.0°
Meteor Shower: Monocerotids
Meteoroid's Orbital Elements:
Perihelion distance: 0.184 AU
Eccentricity: 1.003
Inclination: 37.1°
Long. of Asc. Node: 79.7°
Argument of Perihelion: 128.6°
Mean Anomaly: -0.1°
Epoch: 2025 DEC 11 20:50:21
orbit plot

Non-interactive plot | Interactive plot

position vs time
speed and acceleration

Harestua (HAR) cam3


gnomonic
Videos
• Gnomonic
• Gnomonic with coordinates
• Original
• Original with coordinates
Images
• Gnomonic
• Gnomonic with coordinates
• Original
• Original with coordinates
Text Files
• Detection
• Observation
• Coordinates
• Log
Brightness

Moss (mos) cam2


gnomonic
Videos
• Gnomonic
• Gnomonic with coordinates
• Original
• Original with coordinates
Images
• Gnomonic
• Gnomonic with coordinates
• Original
• Original with coordinates
Text Files
• Detection
• Observation
• Coordinates
• Log
Brightness

Moss (mos) cam3


gnomonic
Videos
• Gnomonic
• Gnomonic with coordinates
• Original
• Original with coordinates
Images
• Gnomonic
• Gnomonic with coordinates
• Original
• Original with coordinates
Text Files
• Detection
• Observation
• Coordinates
• Log
Brightness