🇳🇴 🇬🇧 🇩🇪 🇨🇿 🇫🇮

Meteor Åmotforsin yllä 2025-12-11 20:50:21 UTC

KML-tiedosto  |  Interaktiivinen kartta

Kartta näyttää meteorin suuntahavainnot. Vaaleammat viivat näyttävät suunnat havaintoasemilta meteorin ilmestyessä, ja tummemmat viivat näyttävät, missä se viimeksi nähtiin. Sininen nuoli näyttää meteorin näkyvän lennon.

static map
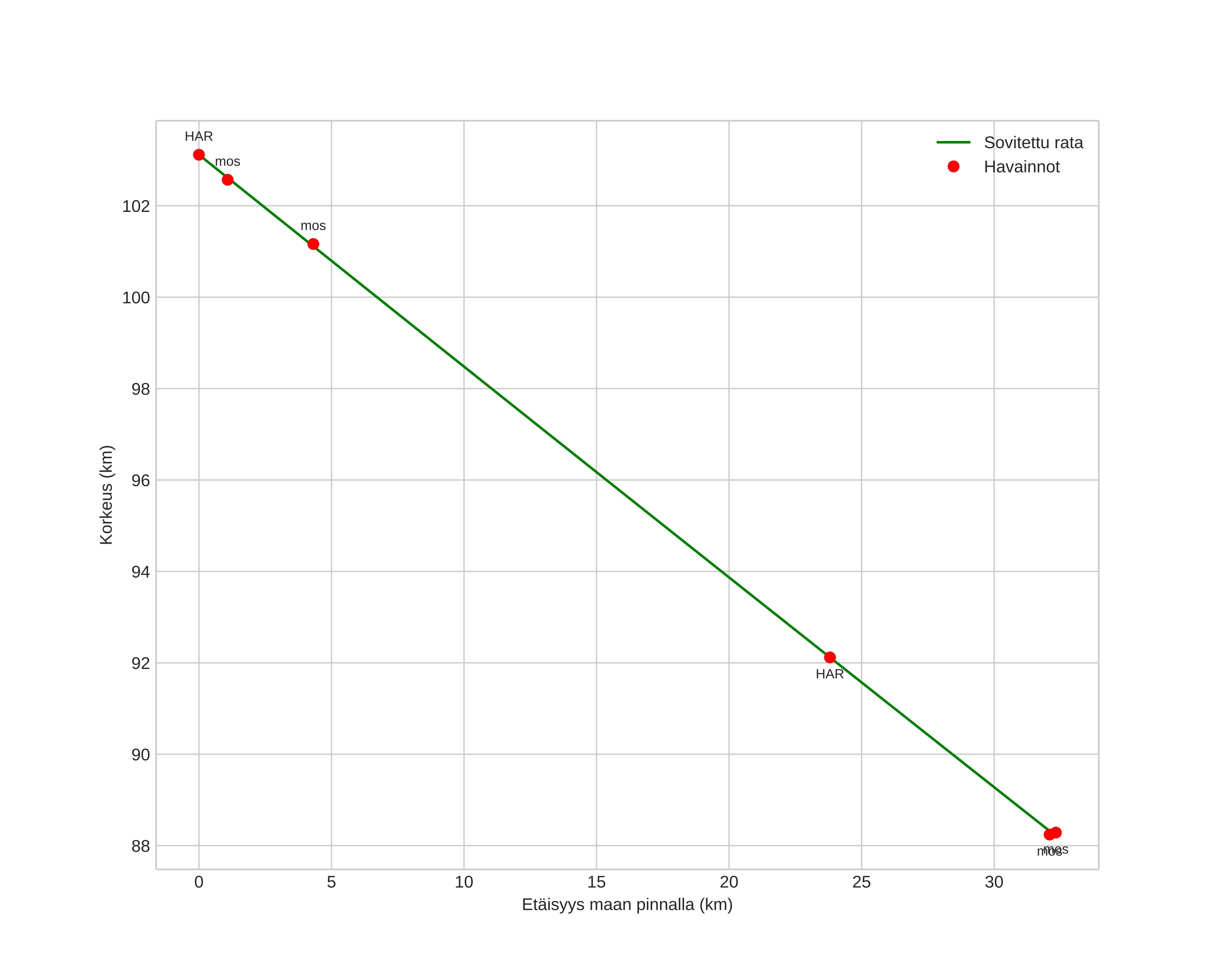
height profile
Meteorin ilmakehärata:
Alkukorkeus: 103,1 km
Loppukorkeus: 88,2 km
Alkupiste: 59,681N 13,008E
Loppupiste: 59,810N 12,492E
Suunta: 296,6°
Kallistuskulma: 24,8°
Tulonopeus: 44,4 km/s
Radiantin R,A,: 06:46 (101,6°)
Radiantin Dekl,: 8,0°
Meteoriparvi: Monoserotidit
Meteoroidin rataelementit:
Perihelietäisyys: 0,184 AU
Eksentrisyys: 1,003
Inklinaatio: 37,1°
Nousevan solmun pituus: 79,7°
Perihelin argumentti: 128,6°
Keskianomalia: -0,1°
Epookki: 2025 DEC 11 20:50:21
orbit plot

Ei-interaktiivinen kuvaaja | Interaktiivinen kuvaaja

position vs time
speed and acceleration

Harestua (HAR) cam3


gnomonic
Videot:
• Gnomoninen
• Gnomoninen koordinaateilla
• Alkuperäinen
• Alkuperäinen koordinaateilla
Kuvat:
• Gnomoninen
• Gnomoninen koordinaateilla
• Alkuperäinen
• Alkuperäinen koordinaateilla
Tekstitiedostot:
• Havaintoraportti
• Observaatio
• Koordinaatit
• Loki
Kirkkaus

Moss (mos) cam2


gnomonic
Videot:
• Gnomoninen
• Gnomoninen koordinaateilla
• Alkuperäinen
• Alkuperäinen koordinaateilla
Kuvat:
• Gnomoninen
• Gnomoninen koordinaateilla
• Alkuperäinen
• Alkuperäinen koordinaateilla
Tekstitiedostot:
• Havaintoraportti
• Observaatio
• Koordinaatit
• Loki
Kirkkaus

Moss (mos) cam3


gnomonic
Videot:
• Gnomoninen
• Gnomoninen koordinaateilla
• Alkuperäinen
• Alkuperäinen koordinaateilla
Kuvat:
• Gnomoninen
• Gnomoninen koordinaateilla
• Alkuperäinen
• Alkuperäinen koordinaateilla
Tekstitiedostot:
• Havaintoraportti
• Observaatio
• Koordinaatit
• Loki
Kirkkaus