🇳🇴 🇬🇧 🇩🇪 🇨🇿 🇫🇮

Meteor Hovin yllä 2025-12-20 01:25:05 UTC

KML-tiedosto  |  Interaktiivinen kartta

Kartta näyttää meteorin suuntahavainnot. Vaaleammat viivat näyttävät suunnat havaintoasemilta meteorin ilmestyessä, ja tummemmat viivat näyttävät, missä se viimeksi nähtiin. Sininen nuoli näyttää meteorin näkyvän lennon.

static map
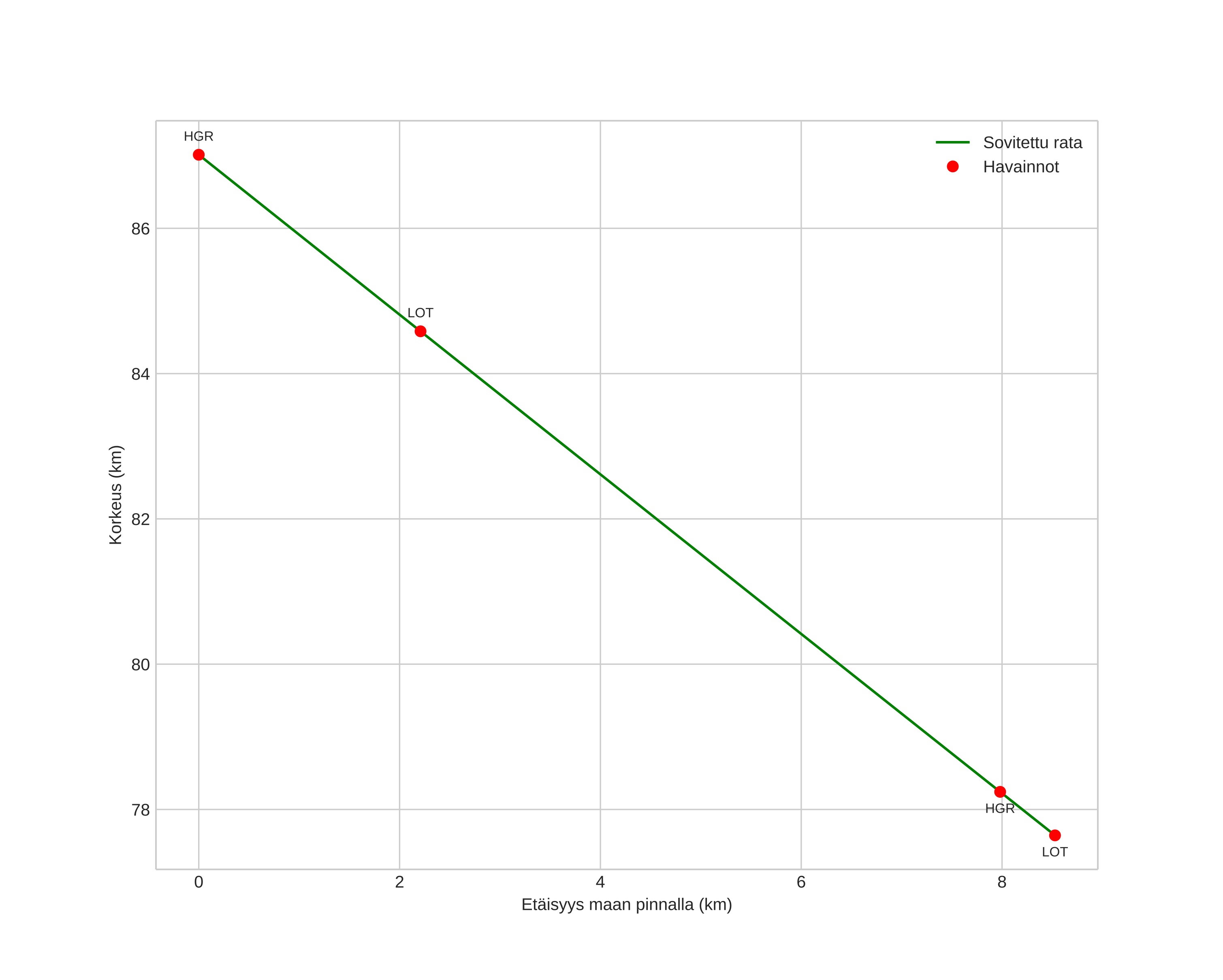
height profile
Meteorin ilmakehärata:
Alkukorkeus: 87,0 km
Loppukorkeus: 77,6 km
Alkupiste: 60,835N 10,206E
Loppupiste: 60,899N 10,294E
Suunta: 33,6°
Kallistuskulma: 47,8°
Tulonopeus: 28,0 km/s
Radiantin R,A,: 06:20 (95,2°)
Radiantin Dekl,: 20,0°
Meteoriparvi: Sporadinen
Meteoroidin rataelementit:
Perihelietäisyys: 0,451 AU
Eksentrisyys: 0,795
Inklinaatio: 3,2°
Nousevan solmun pituus: 88,1°
Perihelin argumentti: 102,8°
Keskianomalia: 346,8°
Epookki: 2025 DEC 20 01:25:05
orbit plot

Ei-interaktiivinen kuvaaja | Interaktiivinen kuvaaja

position vs time
speed and acceleration

Hagar (HGR) cam7


gnomonic
Videot:
• Gnomoninen
• Gnomoninen koordinaateilla
• Alkuperäinen
• Alkuperäinen koordinaateilla
Kuvat:
• Gnomoninen
• Gnomoninen koordinaateilla
• Alkuperäinen
• Alkuperäinen koordinaateilla
Tekstitiedostot:
• Havaintoraportti
• Observaatio
• Koordinaatit
• Loki
Kirkkaus

Loten (LOT) cam5


gnomonic
Videot:
• Gnomoninen
• Gnomoninen koordinaateilla
• Alkuperäinen
• Alkuperäinen koordinaateilla
Kuvat:
• Gnomoninen
• Gnomoninen koordinaateilla
• Alkuperäinen
• Alkuperäinen koordinaateilla
Tekstitiedostot:
• Havaintoraportti
• Observaatio
• Koordinaatit
• Loki
Kirkkaus