🇳🇴 🇬🇧 🇩🇪 🇨🇿 🇫🇮

Meteor over Hov 2025-12-20 01:25:05 UTC

KML-fil  |  Interaktivt kart

Kartet viser peilingene for meteoren. De lysere linjene viser retningene fra observasjonsstedene for meteorens tilsynekomst, og de mørkere linjene viser hvor den sist kunne sees. Den blå pila viser meteorens synlige ferd.

static map
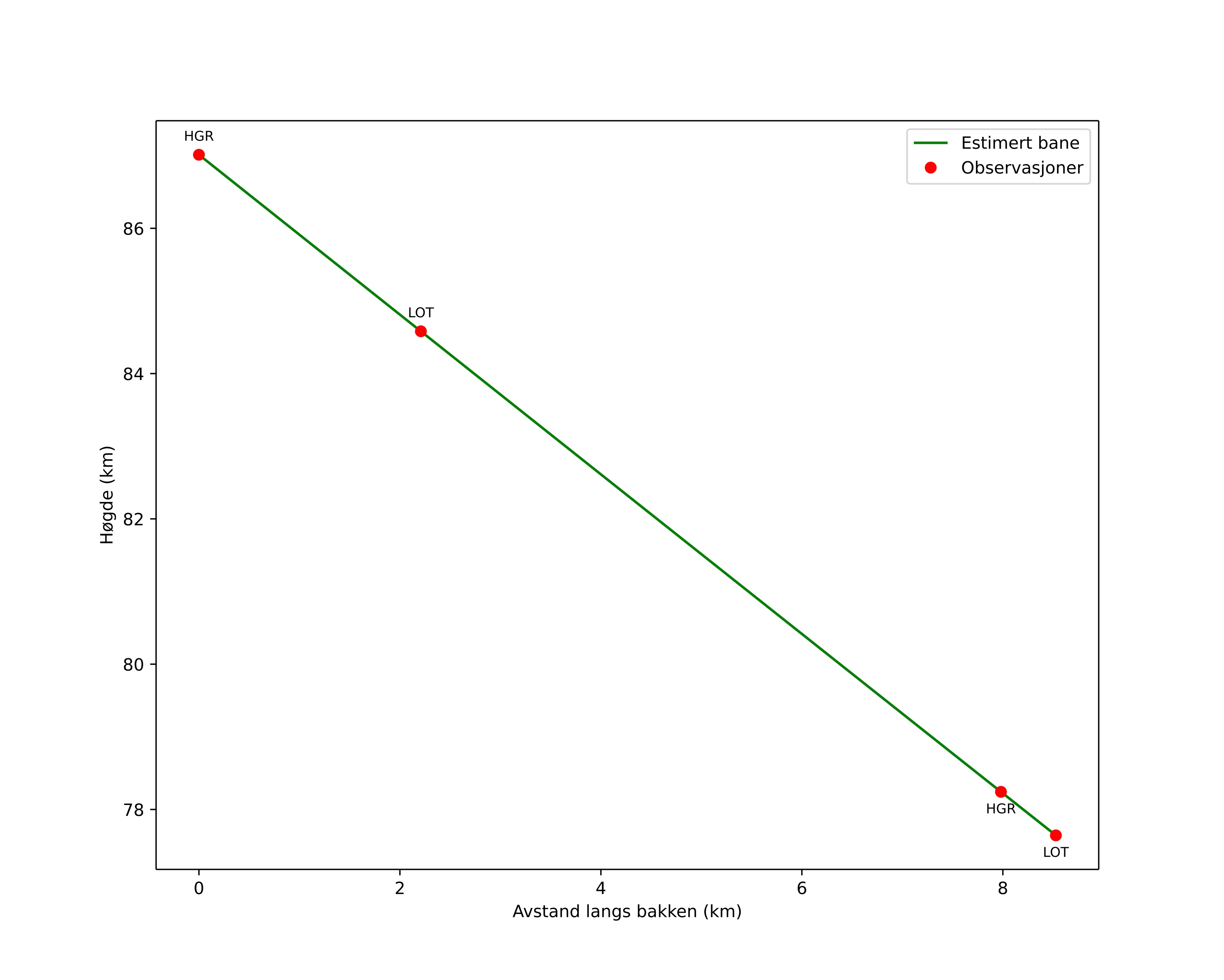
height profile
Meteorens atmosfæriske bane:
Starthøgde: 87,0 km
Slutthøgde: 77,6 km
Startposisjon: 60,835N 10,206E
Sluttposisjon: 60,899N 10,294E
Retning: 33,6°
Fallvinkel: 47,8°
Inngangshastighet: 28,0 km/s
Radiantens rektascensjon: 06:20 (95,2°)
Radiantens deklinasjon: 20,0°
Meteorsverm: sporadisk
Meteoroidens baneelement:
Perihelavstand: 0,451 AU
Eksentrisitet: 0,795
Inklinasjon: 3,2°
Knutelengde: 88,1°
Perihelargument: 102,8°
Midlere anomali: 346,8°
Epoke: 2025 DEC 20 01:25:05
orbit plot

Ikke-interaktivt plott | Interaktivt plott

position vs time
speed and acceleration

Hagar (HGR) cam7


gnomonic
Videoer
• Gnomonisk
• Gnomonisk med koordinater
• Original
• Original med koordinater
Bilder
• Gnomonisk
• Gnomonisk med koordinater
• Original
• Original med koordinater
Tekstfiler
• Deteksjon
• Observasjon
• Koordinater
• Logg
Lysstyrke

Loten (LOT) cam5


gnomonic
Videoer
• Gnomonisk
• Gnomonisk med koordinater
• Original
• Original med koordinater
Bilder
• Gnomonisk
• Gnomonisk med koordinater
• Original
• Original med koordinater
Tekstfiler
• Deteksjon
• Observasjon
• Koordinater
• Logg
Lysstyrke