🇳🇴 🇬🇧 🇩🇪 🇨🇿 🇫🇮

Meteor über Smedjebacken 2025-12-28 17:46:44 UTC

KML-Datei  |  Interaktive Karte

Die Karte zeigt die Peilungen für den Meteor. Die helleren Linien zeigen die Richtungen von den Beobachtungsorten beim Erscheinen des Meteors, und die dunkleren Linien, wo er zuletzt gesehen wurde. Der blaue Pfeil zeigt die sichtbare Bahn des Meteors.

static map
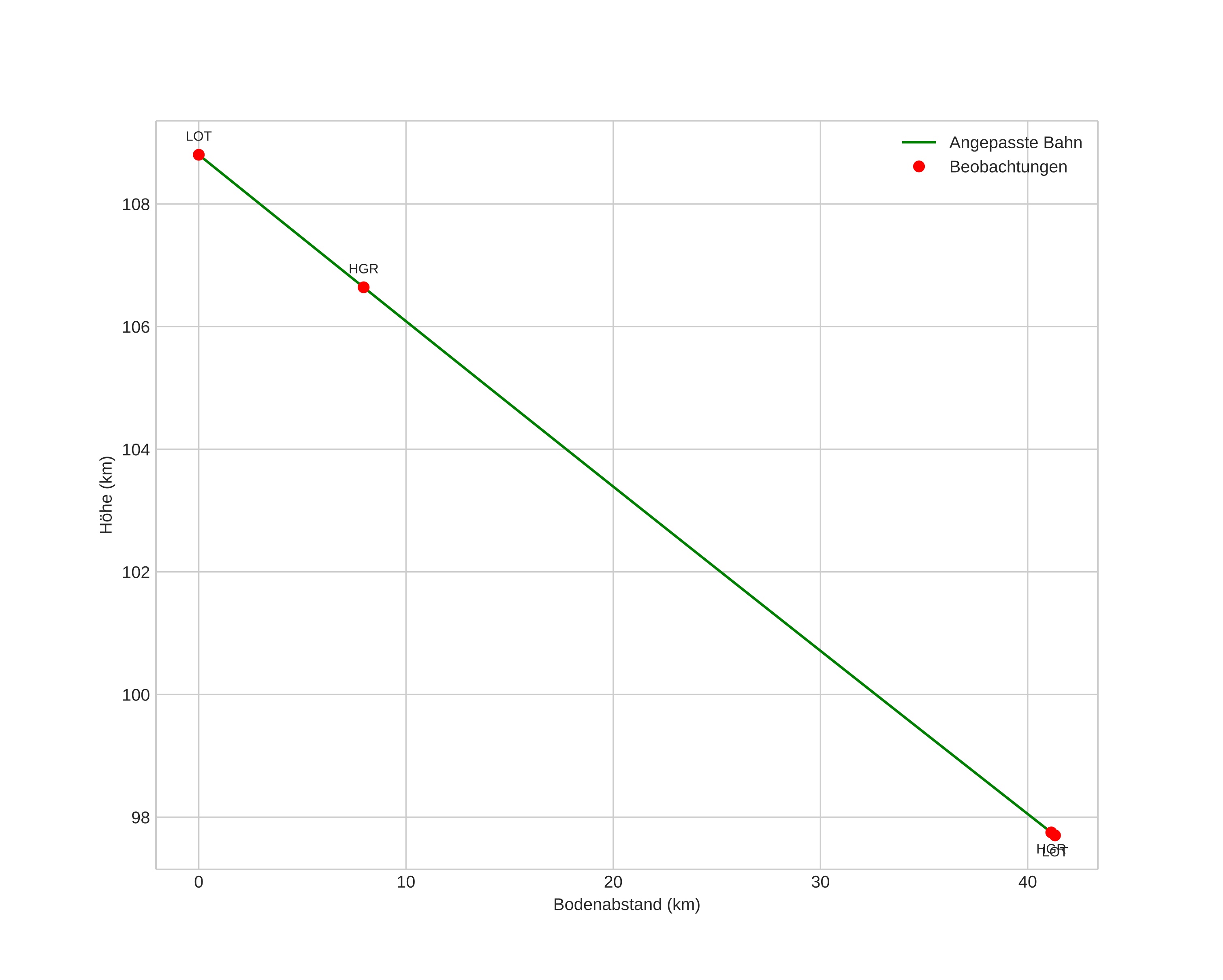
height profile
Atmosphärische Bahn des Meteors:
Anfangshöhe: 108,8 km
Endhöhe: 97,7 km
Startposition: 60,574N 15,349E
Endposition: 60,221N 15,584E
Richtung: 161,7°
Neigungswinkel: 15,0°
Eintrittsgeschwindigkeit: 51,9 km/s
Rektaszension des Radianten: 14:53 (223,4°)
Deklination des Radianten: 41,6°
Meteorstrom: sporadisch
Bahnelemente des Meteoroiden:
Periheldistanz: 0,955 AU
Exzentrizität: 0,956
Inklination: 87,7°
Länge des aufsteigenden Knotens: 276,9°
Argument des Perihels: 160,1°
Mittlere Anomalie: 0,1°
Epoche: 2025 DEC 28 17:46:44
orbit plot

Nicht-interaktives Diagramm | Interaktives Diagramm

position vs time
speed and acceleration

Hagar (HGR) cam3


gnomonic
Videos
• Gnomonisch
• Gnomonisch mit Koordinaten
• Original
• Original mit Koordinaten
Bilder
• Gnomonisch
• Gnomonisch mit Koordinaten
• Original
• Original mit Koordinaten
Textdateien
• Erkennung
• Beobachtung
• Koordinaten
• Protokoll
Helligkeit

Loten (LOT) cam2


gnomonic
Videos
• Gnomonisch
• Gnomonisch mit Koordinaten
• Original
• Original mit Koordinaten
Bilder
• Gnomonisch
• Gnomonisch mit Koordinaten
• Original
• Original mit Koordinaten
Textdateien
• Erkennung
• Beobachtung
• Koordinaten
• Protokoll
Helligkeit