🇳🇴 🇬🇧 🇩🇪 🇨🇿 🇫🇮

Meteor Smedjebackenin yllä 2025-12-28 17:46:44 UTC

KML-tiedosto  |  Interaktiivinen kartta

Kartta näyttää meteorin suuntahavainnot. Vaaleammat viivat näyttävät suunnat havaintoasemilta meteorin ilmestyessä, ja tummemmat viivat näyttävät, missä se viimeksi nähtiin. Sininen nuoli näyttää meteorin näkyvän lennon.

static map
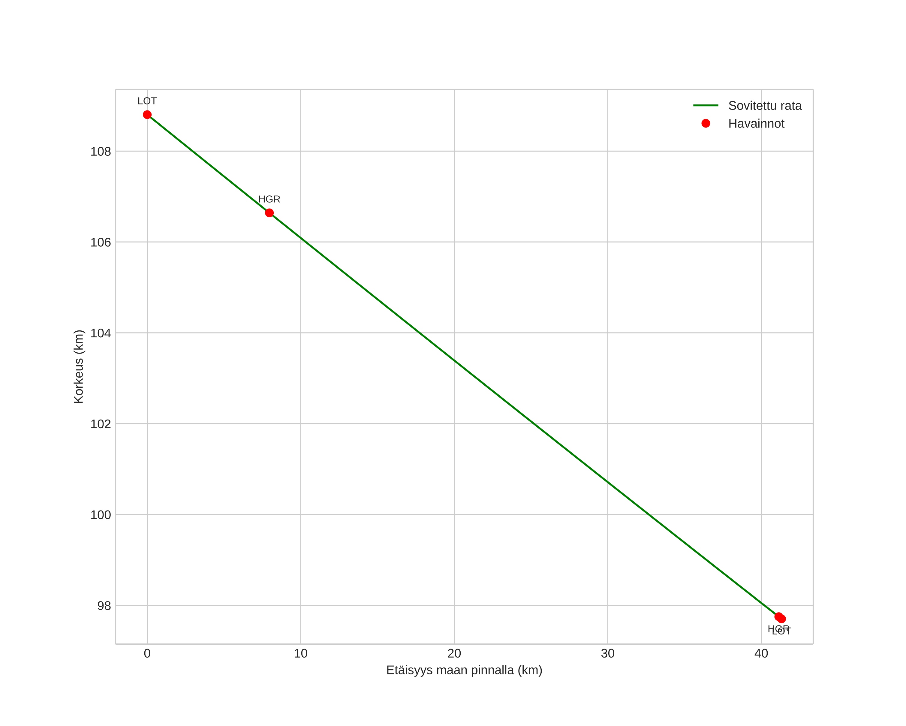
height profile
Meteorin ilmakehärata:
Alkukorkeus: 108,8 km
Loppukorkeus: 97,7 km
Alkupiste: 60,574N 15,349E
Loppupiste: 60,221N 15,584E
Suunta: 161,7°
Kallistuskulma: 15,0°
Tulonopeus: 51,9 km/s
Radiantin R,A,: 14:53 (223,4°)
Radiantin Dekl,: 41,6°
Meteoriparvi: Sporadinen
Meteoroidin rataelementit:
Perihelietäisyys: 0,955 AU
Eksentrisyys: 0,956
Inklinaatio: 87,7°
Nousevan solmun pituus: 276,9°
Perihelin argumentti: 160,1°
Keskianomalia: 0,1°
Epookki: 2025 DEC 28 17:46:44
orbit plot

Ei-interaktiivinen kuvaaja | Interaktiivinen kuvaaja

position vs time
speed and acceleration

Hagar (HGR) cam3


gnomonic
Videot:
• Gnomoninen
• Gnomoninen koordinaateilla
• Alkuperäinen
• Alkuperäinen koordinaateilla
Kuvat:
• Gnomoninen
• Gnomoninen koordinaateilla
• Alkuperäinen
• Alkuperäinen koordinaateilla
Tekstitiedostot:
• Havaintoraportti
• Observaatio
• Koordinaatit
• Loki
Kirkkaus

Loten (LOT) cam2


gnomonic
Videot:
• Gnomoninen
• Gnomoninen koordinaateilla
• Alkuperäinen
• Alkuperäinen koordinaateilla
Kuvat:
• Gnomoninen
• Gnomoninen koordinaateilla
• Alkuperäinen
• Alkuperäinen koordinaateilla
Tekstitiedostot:
• Havaintoraportti
• Observaatio
• Koordinaatit
• Loki
Kirkkaus