🇳🇴 🇬🇧 🇩🇪 🇨🇿 🇫🇮

Meteor, poloha: Abborrberget 2025-12-29 17:35:41 UTC

Soubor KML  |  Interaktivní mapa

Mapa zobrazuje dráhy meteoru. Světlejší čáry ukazují směry od pozorovacích stanic při objevení se meteoru a tmavší čáry, kde byl naposledy viděn. Modrá šipka značí viditelnou dráhu meteoru.

static map
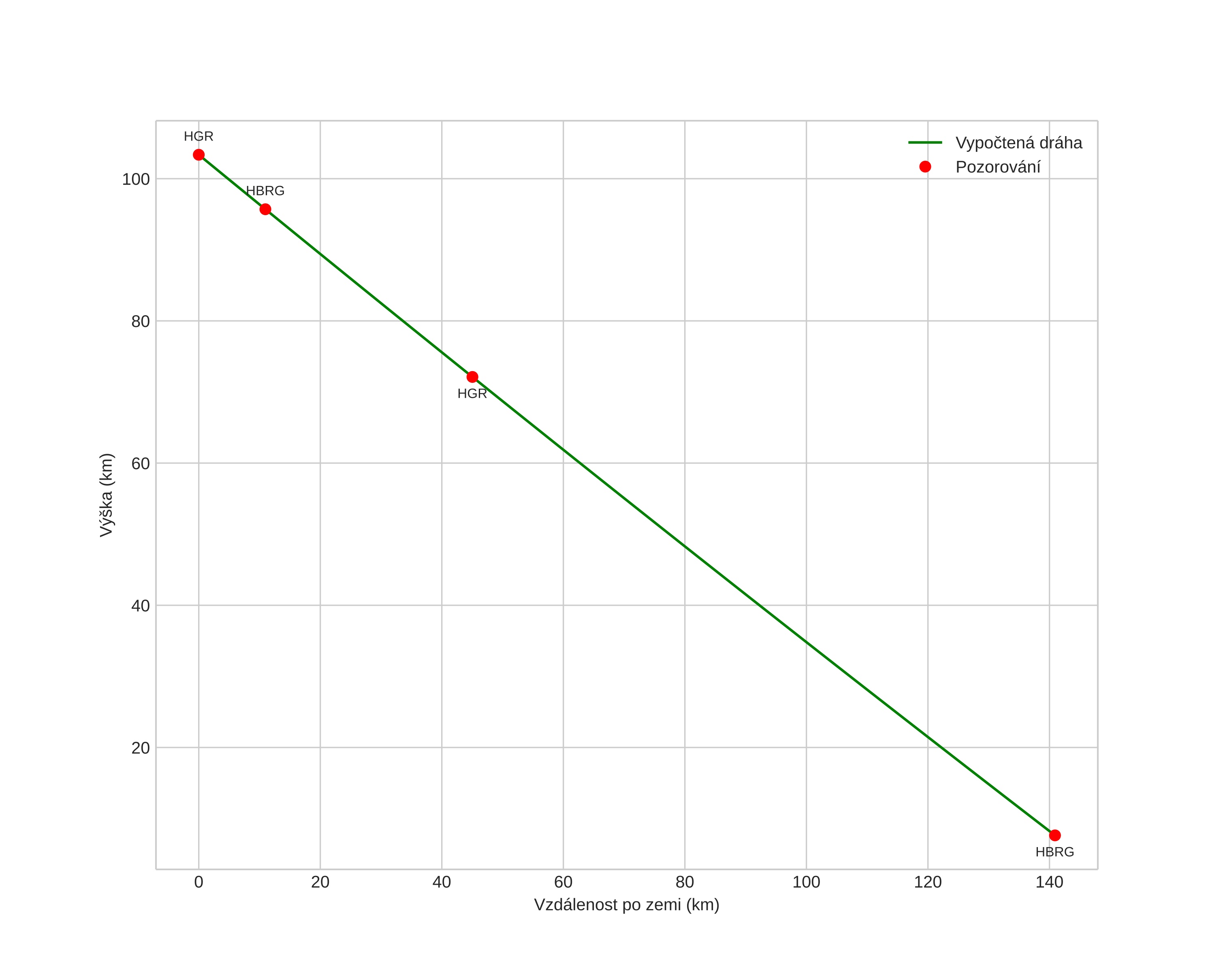
height profile
Atmosférická dráha meteoru:
Počáteční výška: 103,4 km
Konečná výška: 7,6 km
Počáteční poloha: 61,387N 15,544E
Konečná poloha: 60,193N 14,675E
Směr: 199,9°
Sklon: 34,2°
Vstupní rychlost: 54,9 km/s
Rektascenze radiantu: 10:55 (163,8°)
Deklinace radiantu: 59,7°
Meteorický roj: sporadický
Elementy dráhy meteoroidu:
Vzdálenost v periheliu: 0,705 AU
Excentricita: 1,516
Sklon dráhy: 78,6°
Délka vzestupného uzlu: 277,9°
Argument perihelia: 238,0°
Střední anomálie: -17,2°
Epocha: 2025 DEC 29 17:35:41
orbit plot

Neinteraktivní graf | Interaktivní graf

position vs time
speed and acceleration