🇳🇴 🇬🇧 🇩🇪 🇨🇿 🇫🇮

Meteor Abborrbergetin yllä 2025-12-29 17:35:41 UTC

KML-tiedosto  |  Interaktiivinen kartta

Kartta näyttää meteorin suuntahavainnot. Vaaleammat viivat näyttävät suunnat havaintoasemilta meteorin ilmestyessä, ja tummemmat viivat näyttävät, missä se viimeksi nähtiin. Sininen nuoli näyttää meteorin näkyvän lennon.

static map
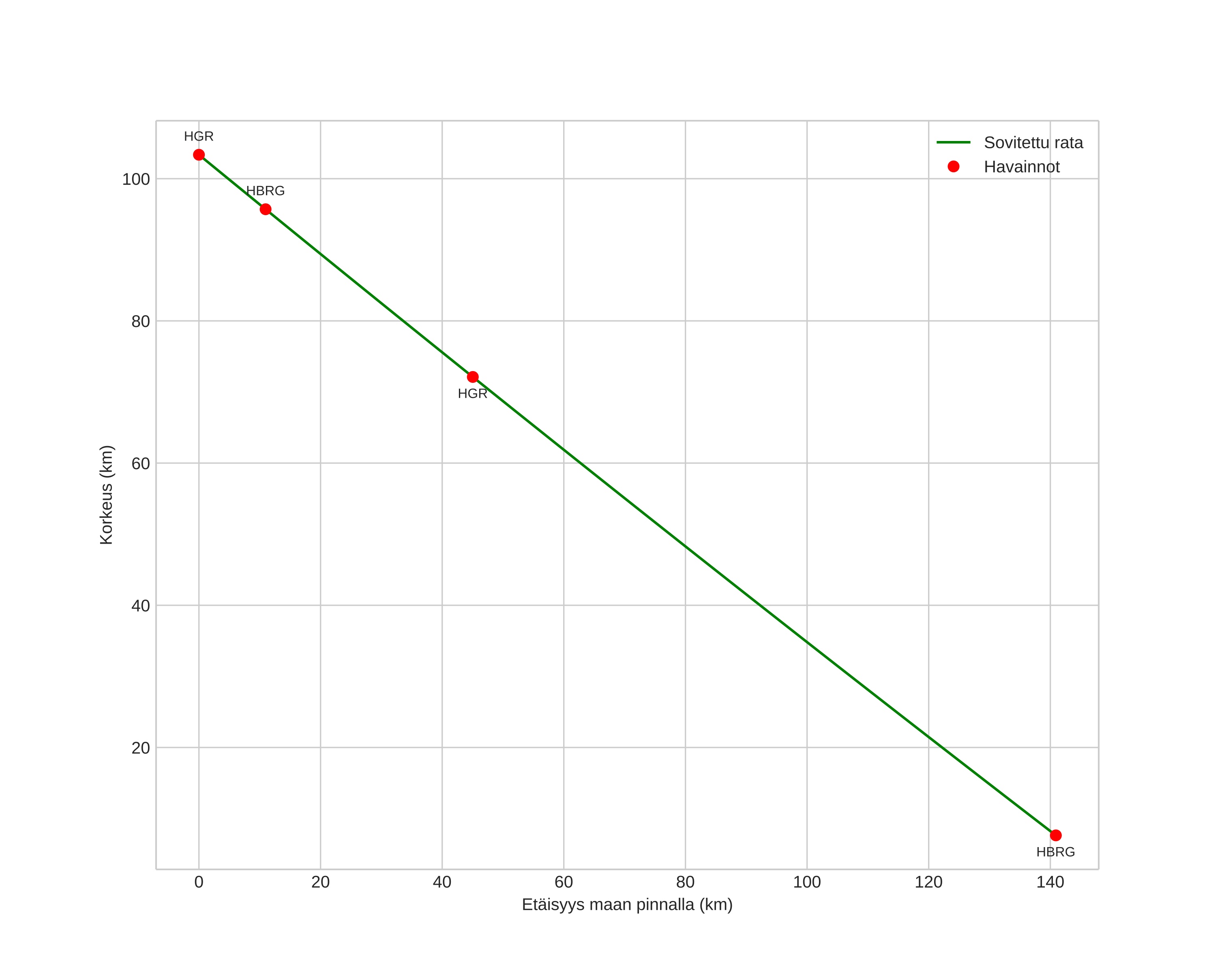
height profile
Meteorin ilmakehärata:
Alkukorkeus: 103,4 km
Loppukorkeus: 7,6 km
Alkupiste: 61,387N 15,544E
Loppupiste: 60,193N 14,675E
Suunta: 199,9°
Kallistuskulma: 34,2°
Tulonopeus: 54,9 km/s
Radiantin R,A,: 10:55 (163,8°)
Radiantin Dekl,: 59,7°
Meteoriparvi: Sporadinen
Meteoroidin rataelementit:
Perihelietäisyys: 0,705 AU
Eksentrisyys: 1,516
Inklinaatio: 78,6°
Nousevan solmun pituus: 277,9°
Perihelin argumentti: 238,0°
Keskianomalia: -17,2°
Epookki: 2025 DEC 29 17:35:41
orbit plot

Ei-interaktiivinen kuvaaja | Interaktiivinen kuvaaja

position vs time
speed and acceleration

Hagar (HGR) cam3


gnomonic
Videot:
• Gnomoninen
• Gnomoninen koordinaateilla
• Alkuperäinen
• Alkuperäinen koordinaateilla
Kuvat:
• Gnomoninen
• Gnomoninen koordinaateilla
• Alkuperäinen
• Alkuperäinen koordinaateilla
Tekstitiedostot:
• Havaintoraportti
• Observaatio
• Koordinaatit
• Loki
Kirkkaus