🇳🇴 🇬🇧 🇩🇪 🇨🇿 🇫🇮

Meteor Malungin yllä 2025-12-29 21:04:06 UTC

KML-tiedosto  |  Interaktiivinen kartta

Kartta näyttää meteorin suuntahavainnot. Vaaleammat viivat näyttävät suunnat havaintoasemilta meteorin ilmestyessä, ja tummemmat viivat näyttävät, missä se viimeksi nähtiin. Sininen nuoli näyttää meteorin näkyvän lennon.

static map
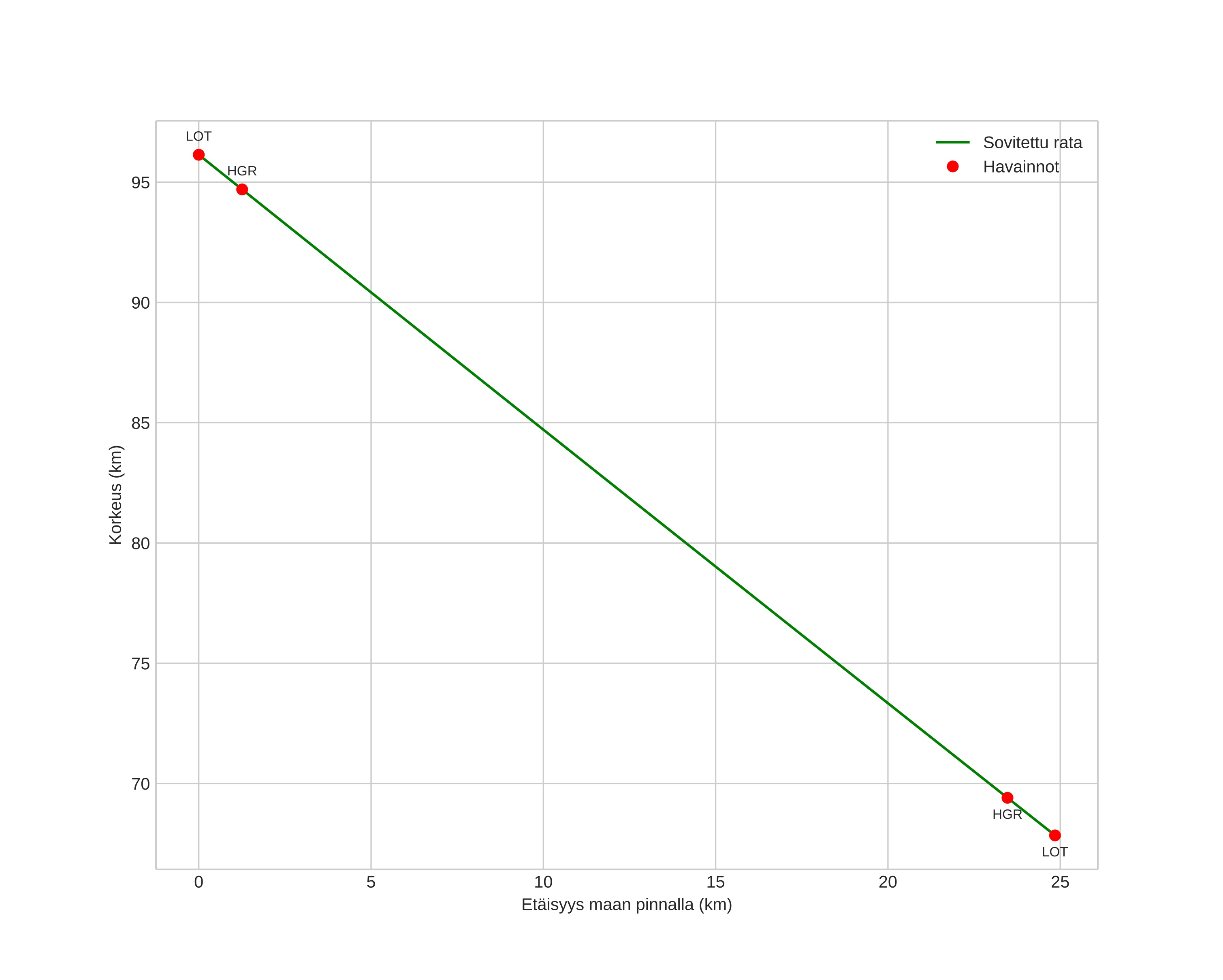
height profile
Meteorin ilmakehärata:
Alkukorkeus: 96,1 km
Loppukorkeus: 67,8 km
Alkupiste: 60,862N 14,036E
Loppupiste: 61,007N 13,685E
Suunta: 310,6°
Kallistuskulma: 48,7°
Tulonopeus: 26,8 km/s
Radiantin R,A,: 06:50 (102,6°)
Radiantin Dekl,: 24,8°
Meteoriparvi: Sporadinen
Meteoroidin rataelementit:
Perihelietäisyys: 0,510 AU
Eksentrisyys: 0,779
Inklinaatio: 1,6°
Nousevan solmun pituus: 277,9°
Perihelin argumentti: 275,9°
Keskianomalia: 347,6°
Epookki: 2025 DEC 29 21:04:06
orbit plot

Ei-interaktiivinen kuvaaja | Interaktiivinen kuvaaja

position vs time
speed and acceleration

Hagar (HGR) cam3


gnomonic
Videot:
• Gnomoninen
• Gnomoninen koordinaateilla
• Alkuperäinen
• Alkuperäinen koordinaateilla
Kuvat:
• Gnomoninen
• Gnomoninen koordinaateilla
• Alkuperäinen
• Alkuperäinen koordinaateilla
Tekstitiedostot:
• Havaintoraportti
• Observaatio
• Koordinaatit
• Loki
Kirkkaus

Loten (LOT) cam2


gnomonic
Videot:
• Gnomoninen
• Gnomoninen koordinaateilla
• Alkuperäinen
• Alkuperäinen koordinaateilla
Kuvat:
• Gnomoninen
• Gnomoninen koordinaateilla
• Alkuperäinen
• Alkuperäinen koordinaateilla
Tekstitiedostot:
• Havaintoraportti
• Observaatio
• Koordinaatit
• Loki
Kirkkaus