🇳🇴 🇬🇧 🇩🇪 🇨🇿 🇫🇮

Meteor over Malung 2025-12-29 21:04:06 UTC

KML-fil  |  Interaktivt kart

Kartet viser peilingene for meteoren. De lysere linjene viser retningene fra observasjonsstedene for meteorens tilsynekomst, og de mørkere linjene viser hvor den sist kunne sees. Den blå pila viser meteorens synlige ferd.

static map
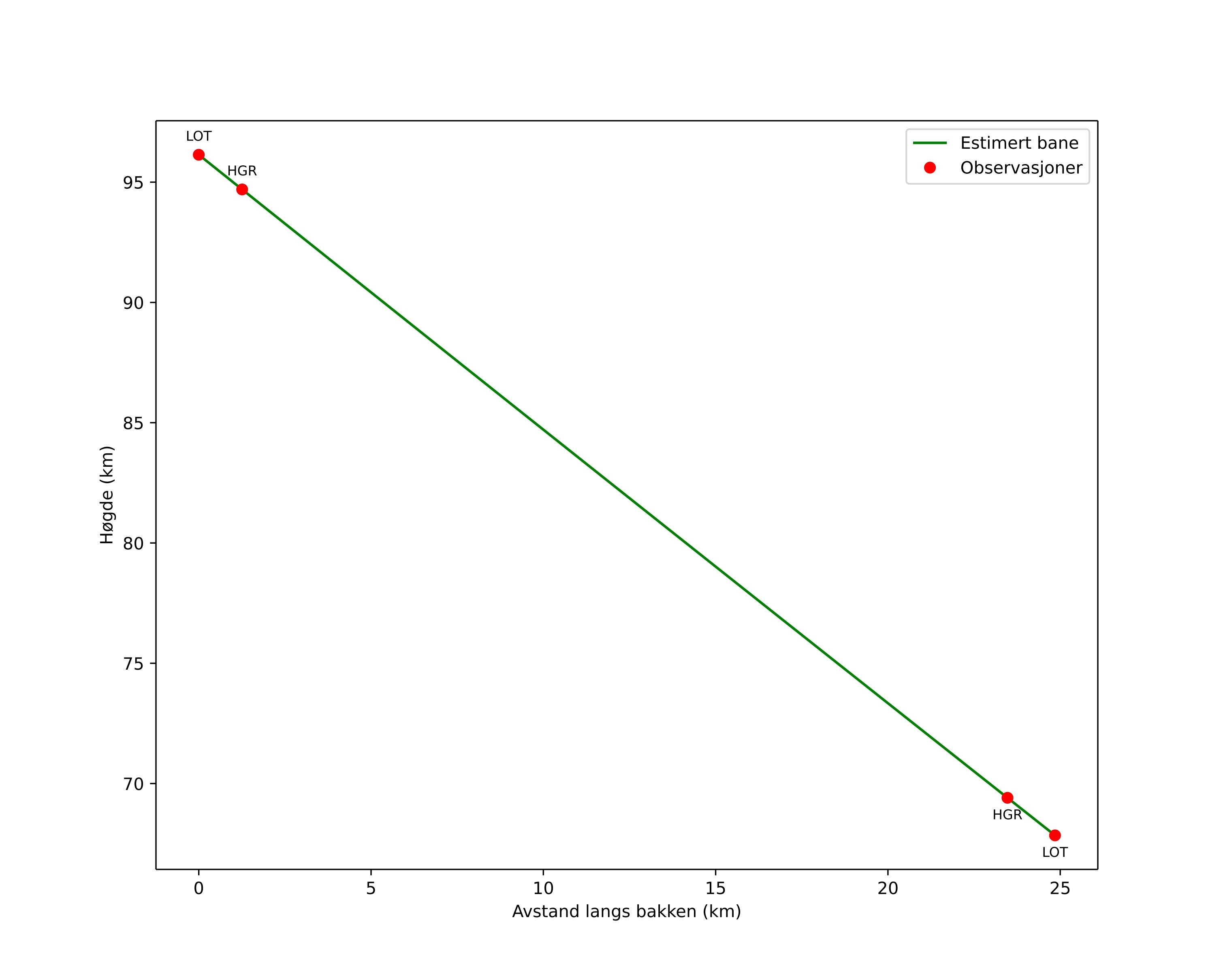
height profile
Meteorens atmosfæriske bane:
Starthøgde: 96,1 km
Slutthøgde: 67,8 km
Startposisjon: 60,862N 14,036E
Sluttposisjon: 61,007N 13,685E
Retning: 310,6°
Fallvinkel: 48,7°
Inngangshastighet: 26,8 km/s
Radiantens rektascensjon: 06:50 (102,6°)
Radiantens deklinasjon: 24,8°
Meteorsverm: sporadisk
Meteoroidens baneelement:
Perihelavstand: 0,510 AU
Eksentrisitet: 0,779
Inklinasjon: 1,6°
Knutelengde: 277,9°
Perihelargument: 275,9°
Midlere anomali: 347,6°
Epoke: 2025 DEC 29 21:04:06
orbit plot

Ikke-interaktivt plott | Interaktivt plott

position vs time
speed and acceleration

Hagar (HGR) cam3


gnomonic
Videoer
• Gnomonisk
• Gnomonisk med koordinater
• Original
• Original med koordinater
Bilder
• Gnomonisk
• Gnomonisk med koordinater
• Original
• Original med koordinater
Tekstfiler
• Deteksjon
• Observasjon
• Koordinater
• Logg
Lysstyrke

Loten (LOT) cam2


gnomonic
Videoer
• Gnomonisk
• Gnomonisk med koordinater
• Original
• Original med koordinater
Bilder
• Gnomonisk
• Gnomonisk med koordinater
• Original
• Original med koordinater
Tekstfiler
• Deteksjon
• Observasjon
• Koordinater
• Logg
Lysstyrke