🇳🇴 🇬🇧 🇩🇪 🇨🇿 🇫🇮

Meteor over Tranby 2025-12-29 22:02:33 UTC

KML file  |  Interactive map

The map shows the bearings for the meteor. The lighter lines show the directions from the observation sites at the meteor's appearance, and the darker lines show where it was last seen. The blue arrow indicates the visible path of the meteor.

static map
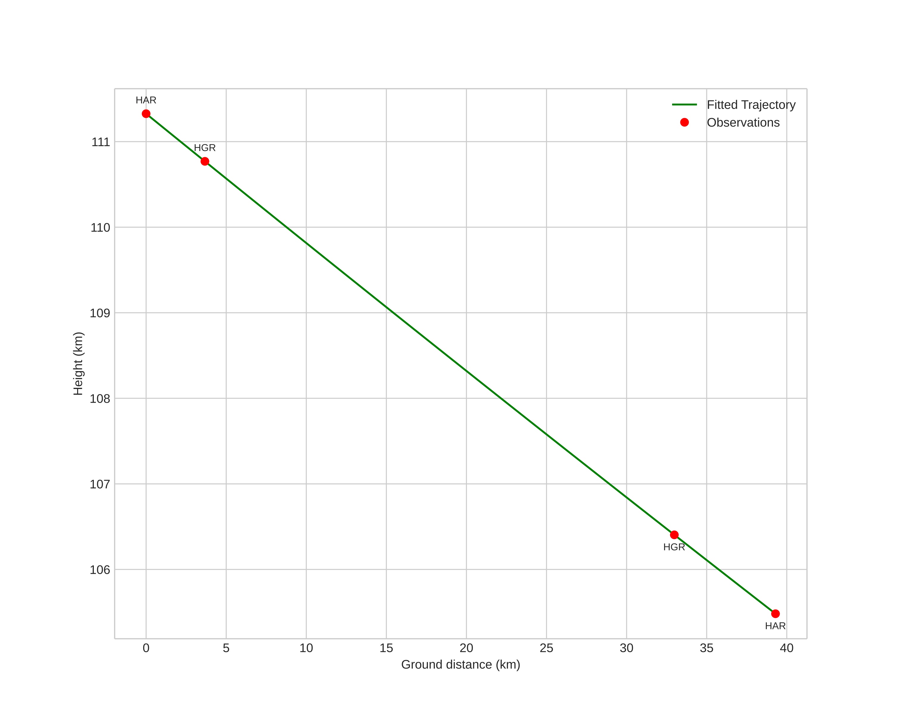
height profile
Meteor's Atmospheric Trajectory:
Start height: 111.3 km
End height: 105.5 km
Start position: 60.053N 10.971E
End position: 59.910N 10.326E
Direction: 246.3°
Inclination angle: 8.4°
Entry speed: 73.0 km/s
Radiant R.A.: 12:27 (186.8°)
Radiant Dec.: 18.6°
Meteor Shower: sporadic
Meteoroid's Orbital Elements:
Perihelion distance: 0.929 AU
Eccentricity: 1.257
Inclination: 146.3°
Long. of Asc. Node: 278.1°
Argument of Perihelion: 205.9°
Mean Anomaly: -2.3°
Epoch: 2025 DEC 29 22:02:33
orbit plot

Non-interactive plot | Interactive plot

position vs time
speed and acceleration

Hagar (HGR) cam6


gnomonic
Videos
• Gnomonic
• Gnomonic with coordinates
• Original
• Original with coordinates
Images
• Gnomonic
• Gnomonic with coordinates
• Original
• Original with coordinates
Text Files
• Detection
• Observation
• Coordinates
• Log
Brightness

Harestua (HAR) cam7


gnomonic
Videos
• Gnomonic
• Gnomonic with coordinates
• Original
• Original with coordinates
Images
• Gnomonic
• Gnomonic with coordinates
• Original
• Original with coordinates
Text Files
• Detection
• Observation
• Coordinates
• Log
Brightness