🇳🇴 🇬🇧 🇩🇪 🇨🇿 🇫🇮

Meteor Tranbyn yllä 2025-12-29 22:02:33 UTC

KML-tiedosto  |  Interaktiivinen kartta

Kartta näyttää meteorin suuntahavainnot. Vaaleammat viivat näyttävät suunnat havaintoasemilta meteorin ilmestyessä, ja tummemmat viivat näyttävät, missä se viimeksi nähtiin. Sininen nuoli näyttää meteorin näkyvän lennon.

static map
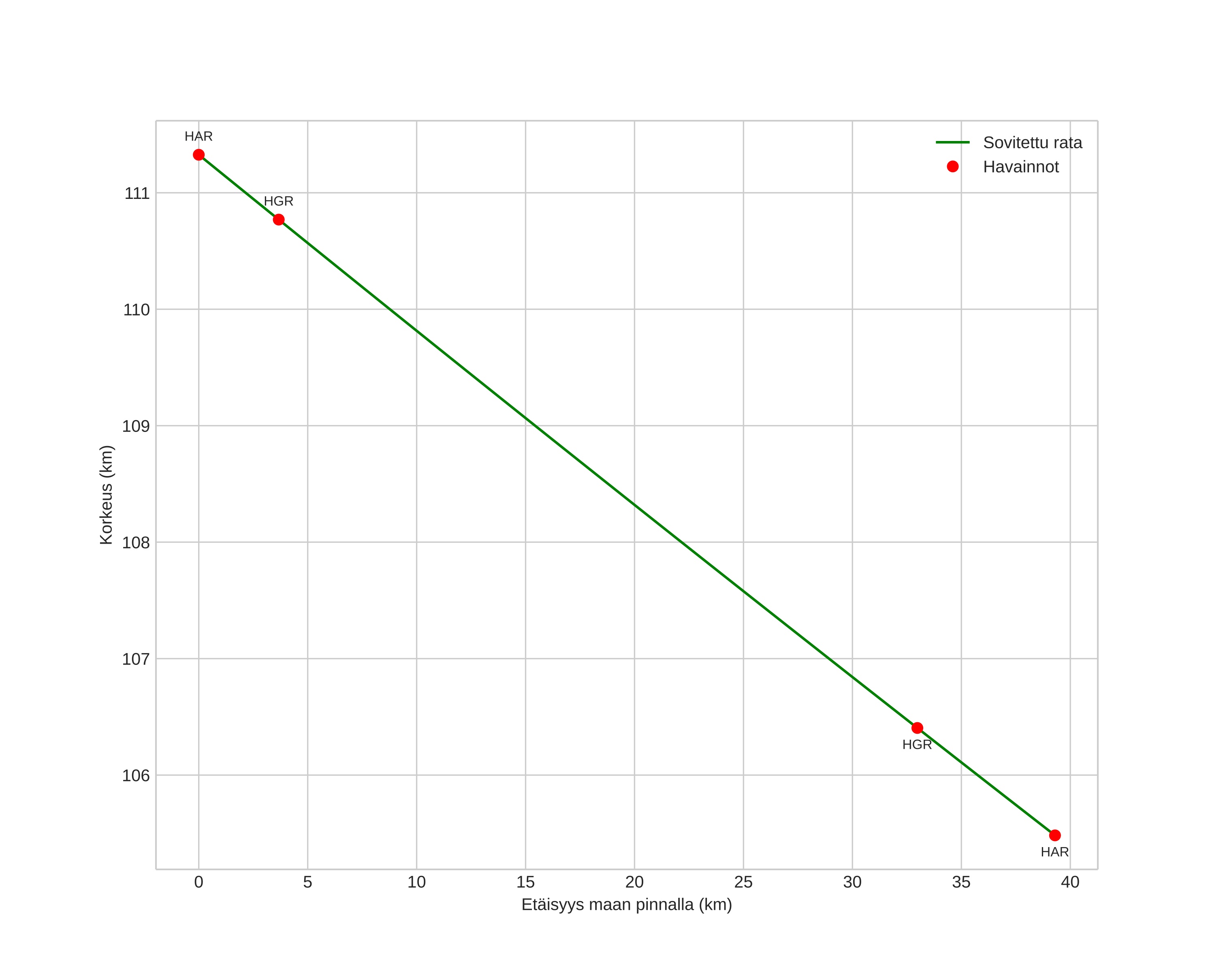
height profile
Meteorin ilmakehärata:
Alkukorkeus: 111,3 km
Loppukorkeus: 105,5 km
Alkupiste: 60,053N 10,971E
Loppupiste: 59,910N 10,326E
Suunta: 246,3°
Kallistuskulma: 8,4°
Tulonopeus: 73,0 km/s
Radiantin R,A,: 12:27 (186,8°)
Radiantin Dekl,: 18,6°
Meteoriparvi: Sporadinen
Meteoroidin rataelementit:
Perihelietäisyys: 0,929 AU
Eksentrisyys: 1,257
Inklinaatio: 146,3°
Nousevan solmun pituus: 278,1°
Perihelin argumentti: 205,9°
Keskianomalia: -2,3°
Epookki: 2025 DEC 29 22:02:33
orbit plot

Ei-interaktiivinen kuvaaja | Interaktiivinen kuvaaja

position vs time
speed and acceleration

Hagar (HGR) cam6


gnomonic
Videot:
• Gnomoninen
• Gnomoninen koordinaateilla
• Alkuperäinen
• Alkuperäinen koordinaateilla
Kuvat:
• Gnomoninen
• Gnomoninen koordinaateilla
• Alkuperäinen
• Alkuperäinen koordinaateilla
Tekstitiedostot:
• Havaintoraportti
• Observaatio
• Koordinaatit
• Loki
Kirkkaus

Harestua (HAR) cam7


gnomonic
Videot:
• Gnomoninen
• Gnomoninen koordinaateilla
• Alkuperäinen
• Alkuperäinen koordinaateilla
Kuvat:
• Gnomoninen
• Gnomoninen koordinaateilla
• Alkuperäinen
• Alkuperäinen koordinaateilla
Tekstitiedostot:
• Havaintoraportti
• Observaatio
• Koordinaatit
• Loki
Kirkkaus