🇳🇴 🇬🇧 🇩🇪 🇨🇿 🇫🇮

Meteor Charlottenbergin yllä 2025-12-30 02:12:35 UTC

KML-tiedosto  |  Interaktiivinen kartta

Kartta näyttää meteorin suuntahavainnot. Vaaleammat viivat näyttävät suunnat havaintoasemilta meteorin ilmestyessä, ja tummemmat viivat näyttävät, missä se viimeksi nähtiin. Sininen nuoli näyttää meteorin näkyvän lennon.

static map
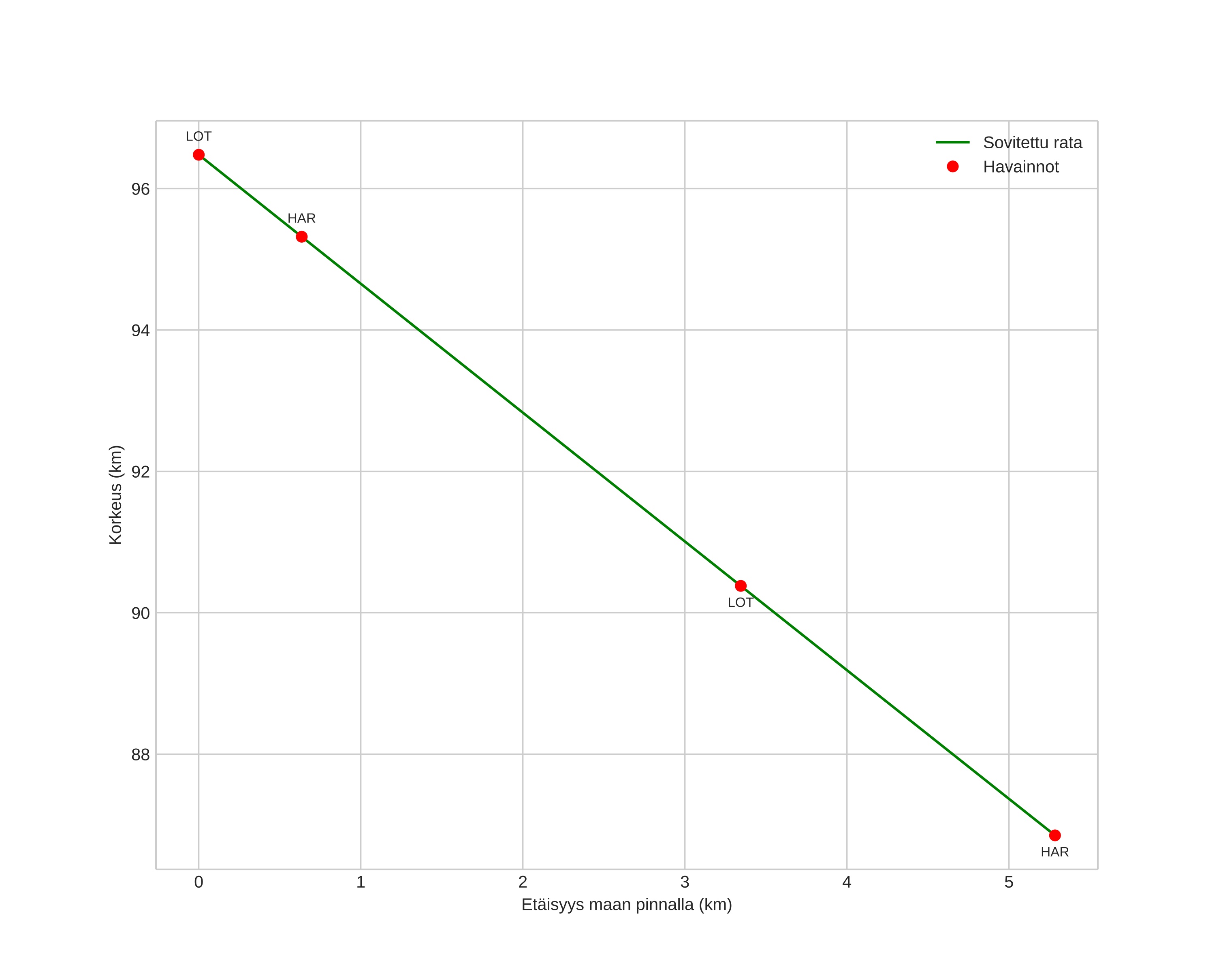
height profile
Meteorin ilmakehärata:
Alkukorkeus: 96,5 km
Loppukorkeus: 86,9 km
Alkupiste: 60,266N 12,597E
Loppupiste: 60,219N 12,580E
Suunta: 190,5°
Kallistuskulma: 61,2°
Tulonopeus: 27,8 km/s
Radiantin R,A,: 15:33 (233,5°)
Radiantin Dekl,: 85,3°
Meteoriparvi: Sporadinen
Meteoroidin rataelementit:
Perihelietäisyys: 0,928 AU
Eksentrisyys: 0,755
Inklinaatio: 38,4°
Nousevan solmun pituus: 278,3°
Perihelin argumentti: 209,7°
Keskianomalia: 357,2°
Epookki: 2025 DEC 30 02:12:35
orbit plot

Ei-interaktiivinen kuvaaja | Interaktiivinen kuvaaja

position vs time
speed and acceleration

Harestua (HAR) cam2


gnomonic
Videot:
• Gnomoninen
• Gnomoninen koordinaateilla
• Alkuperäinen
• Alkuperäinen koordinaateilla
Kuvat:
• Gnomoninen
• Gnomoninen koordinaateilla
• Alkuperäinen
• Alkuperäinen koordinaateilla
Tekstitiedostot:
• Havaintoraportti
• Observaatio
• Koordinaatit
• Loki
Kirkkaus

Loten (LOT) cam3


gnomonic
Videot:
• Gnomoninen
• Gnomoninen koordinaateilla
• Alkuperäinen
• Alkuperäinen koordinaateilla
Kuvat:
• Gnomoninen
• Gnomoninen koordinaateilla
• Alkuperäinen
• Alkuperäinen koordinaateilla
Tekstitiedostot:
• Havaintoraportti
• Observaatio
• Koordinaatit
• Loki
Kirkkaus