🇳🇴 🇬🇧 🇩🇪 🇨🇿 🇫🇮

Meteor over Charlottenberg 2025-12-30 02:12:35 UTC

KML-fil  |  Interaktivt kart

Kartet viser peilingene for meteoren. De lysere linjene viser retningene fra observasjonsstedene for meteorens tilsynekomst, og de mørkere linjene viser hvor den sist kunne sees. Den blå pila viser meteorens synlige ferd.

static map
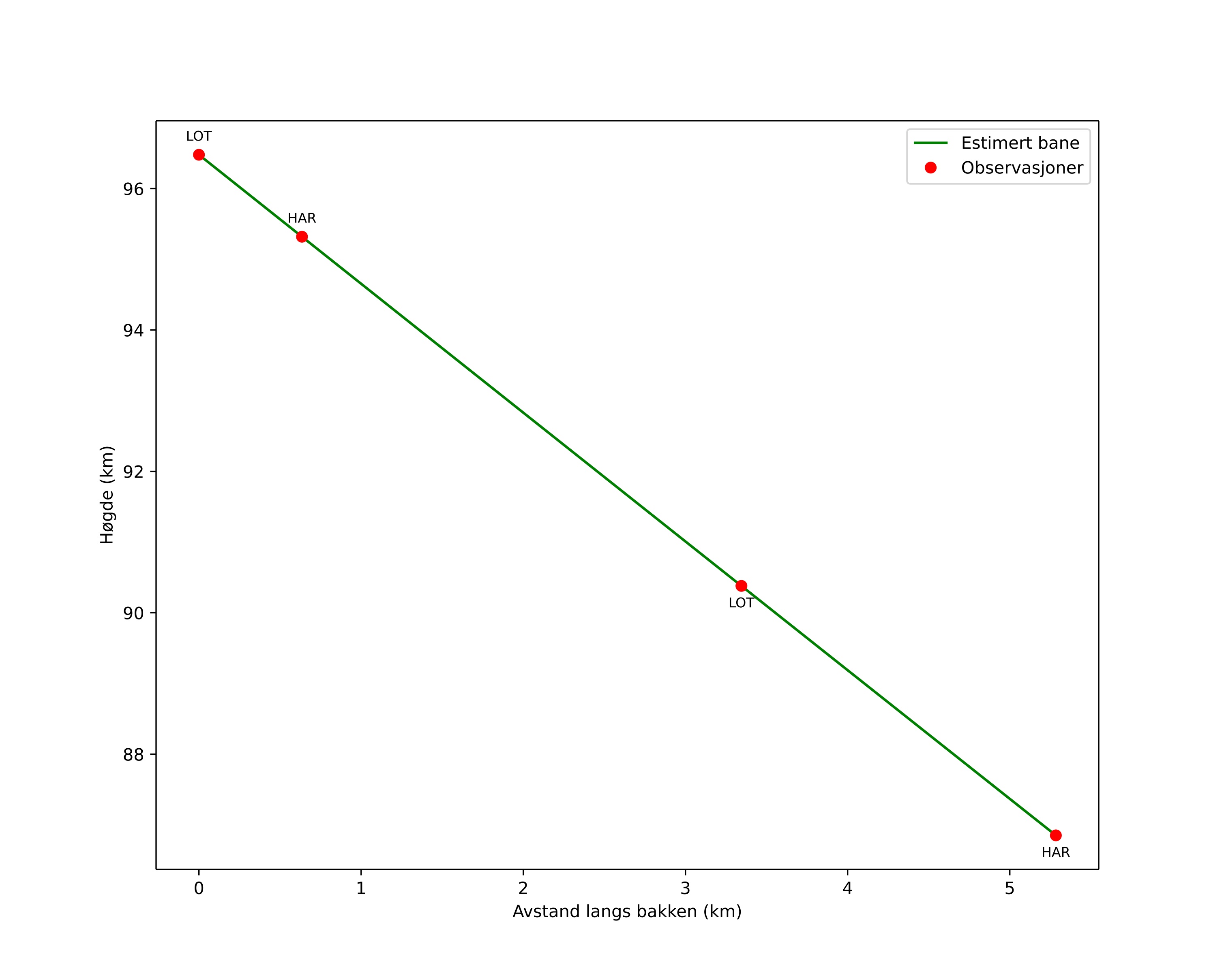
height profile
Meteorens atmosfæriske bane:
Starthøgde: 96,5 km
Slutthøgde: 86,9 km
Startposisjon: 60,266N 12,597E
Sluttposisjon: 60,219N 12,580E
Retning: 190,5°
Fallvinkel: 61,2°
Inngangshastighet: 27,8 km/s
Radiantens rektascensjon: 15:33 (233,5°)
Radiantens deklinasjon: 85,3°
Meteorsverm: sporadisk
Meteoroidens baneelement:
Perihelavstand: 0,928 AU
Eksentrisitet: 0,755
Inklinasjon: 38,4°
Knutelengde: 278,3°
Perihelargument: 209,7°
Midlere anomali: 357,2°
Epoke: 2025 DEC 30 02:12:35
orbit plot

Ikke-interaktivt plott | Interaktivt plott

position vs time
speed and acceleration

Harestua (HAR) cam2


gnomonic
Videoer
• Gnomonisk
• Gnomonisk med koordinater
• Original
• Original med koordinater
Bilder
• Gnomonisk
• Gnomonisk med koordinater
• Original
• Original med koordinater
Tekstfiler
• Deteksjon
• Observasjon
• Koordinater
• Logg
Lysstyrke

Loten (LOT) cam3


gnomonic
Videoer
• Gnomonisk
• Gnomonisk med koordinater
• Original
• Original med koordinater
Bilder
• Gnomonisk
• Gnomonisk med koordinater
• Original
• Original med koordinater
Tekstfiler
• Deteksjon
• Observasjon
• Koordinater
• Logg
Lysstyrke